Официальное опубликование правовых актов
ОФИЦИАЛЬНОЕ ОПУБЛИКОВАНИЕ
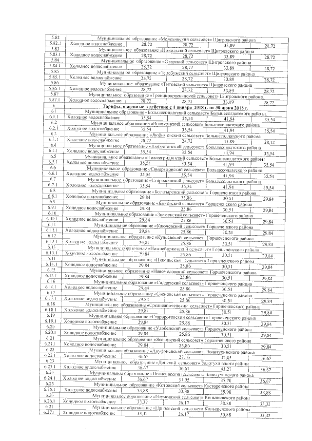
Постановление комитета по тарифам и ценам Курской области от 07.08.2018 №23 "О внесении изменений в постановление комитета по тарифам и ценам Курской области от 18 ноября 2015 г. №289 "О тарифах на питьевую воду и водоотведение для АО "Курскоблводоканал"
на 2016-2018 годы"
Номер опубликования: 4601201808100003
Дата опубликования: 10.08.2018
Страница №13 из 18:
Увеличить