Официальное опубликование правовых актов
ОФИЦИАЛЬНОЕ ОПУБЛИКОВАНИЕ
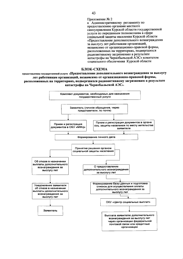
Приказ Комитета социального обеспечения Курской области от 04.10.2018 № 262 "О внесении изменений в Административный регламент по предоставлению органами местного самоуправления Курской области государственной услуги по переданным полномочиям в сфере социальной защиты населения Курской области "Предоставление дополнительного вознаграждения за выслугу лет работникам организаций, независимо от организационно-правовой формы, расположенных на территориях, подвергшихся радиоактивному загрязнению в результате катастрофы на Чернобыльской АЭС"
Номер опубликования: 4601201810050006
Дата опубликования: 05.10.2018
Страница №44 из 50:
Увеличить