Официальное опубликование правовых актов
ОФИЦИАЛЬНОЕ ОПУБЛИКОВАНИЕ
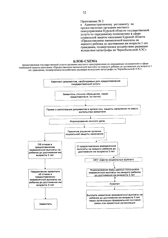
Приказ Комитета социального обеспечения Курской области от 09.10.2018 № 303 "О внесении изменений в Административный регламент по предоставлению органами местного самоуправления Курской области государственной услуги по переданным полномочиям в сфере социальной защиты населения Курской области "Предоставление ежемесячной выплаты на каждого ребенка до достижения им возраста 3 лет гражданам, подвергшимся воздействию радиации вследствие катастрофы на Чернобыльской АЭС"
Номер опубликования: 4601201810110015
Дата опубликования: 11.10.2018
Страница №33 из 40:
Увеличить