Официальное опубликование правовых актов
ОФИЦИАЛЬНОЕ ОПУБЛИКОВАНИЕ
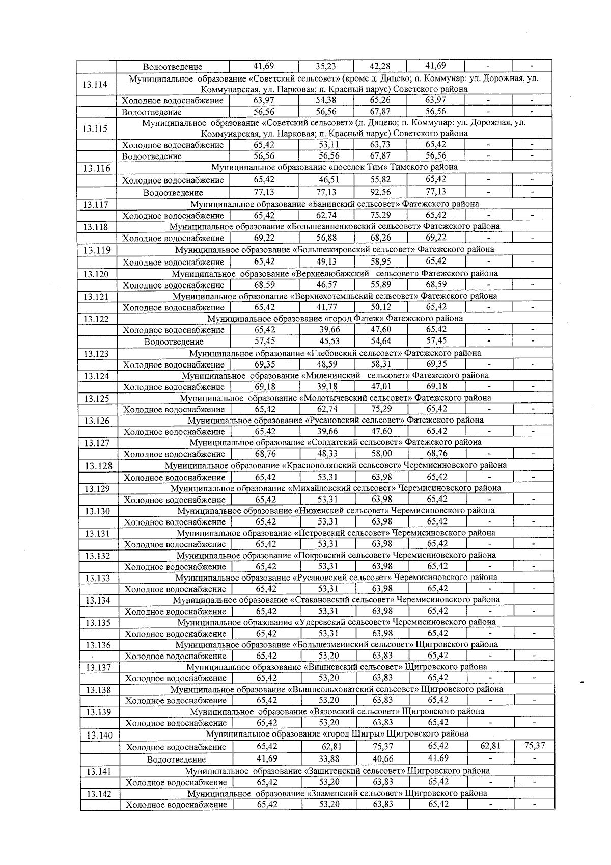
Постановление Комитета по тарифам и ценам Курской области от 19.12.2025 № 165-вод
"О внесении изменений в постановление комитета по тарифам и ценам Курской области от 28.11.2023 № 219-вод "Об установлении долгосрочных параметров регулирования тарифов и тарифов на питьевую воду и водоотведение для АО "Курскоблводоканал" на 2024 - 2028 годы"
(Зарегистрирован 22.12.2025 № 988.25.24)
Номер опубликования: 4601202512250021
Дата опубликования: 25.12.2025
Страница №53 из 54:
Увеличить