Официальное опубликование правовых актов
ОФИЦИАЛЬНОЕ ОПУБЛИКОВАНИЕ
Решение Министерства имущества Курской области от 29.12.2025 № 01.01-02/893
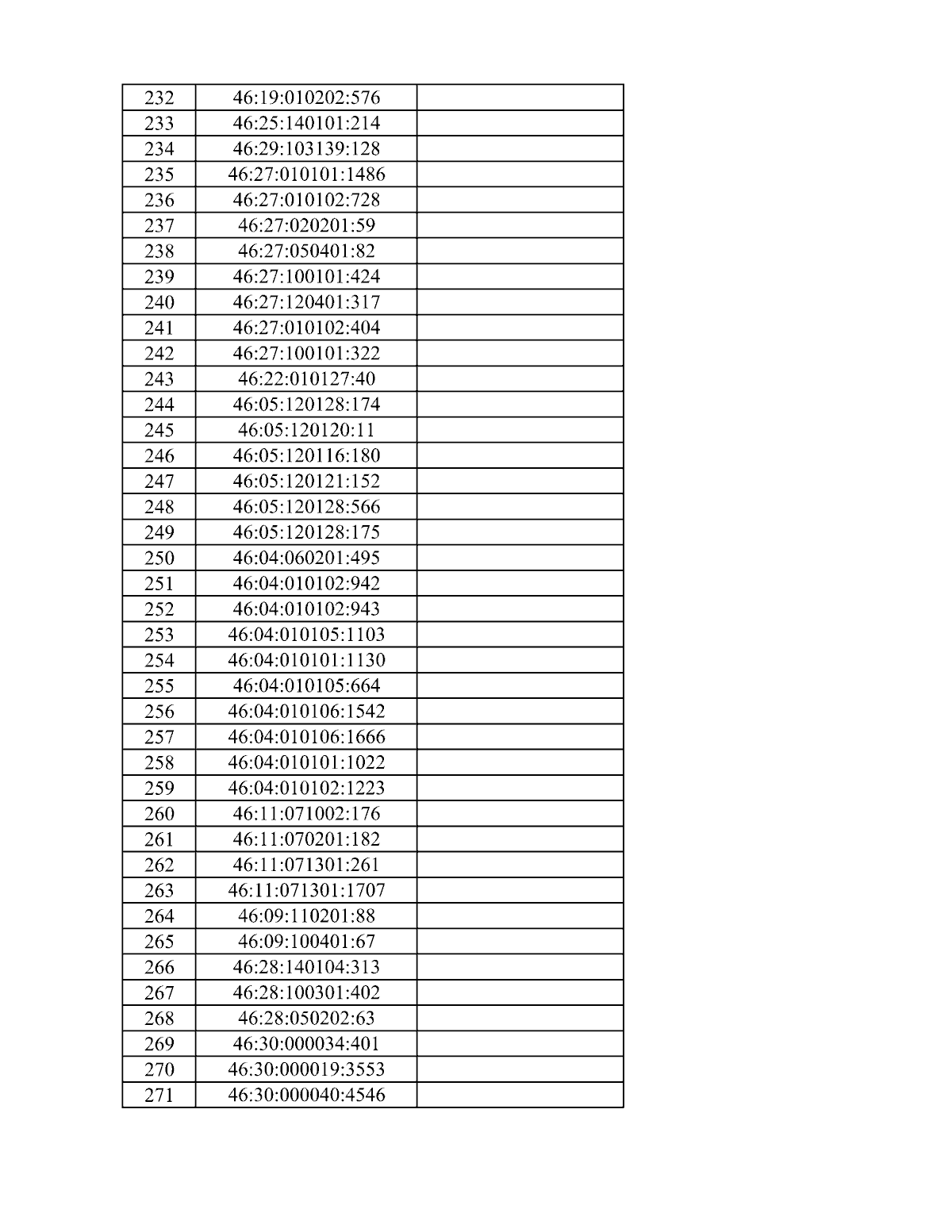
"Об утверждении перечня объектов недвижимого имущества на территории Курской области, в отношении которых налоговая база определяется как кадастровая стоимость"
(Зарегистрирован 30.12.2025 № 1086.25.12)
Номер опубликования: 4601202512310004
Дата опубликования: 31.12.2025
Страница №9 из 329:
Увеличить