Официальное опубликование правовых актов
ОФИЦИАЛЬНОЕ ОПУБЛИКОВАНИЕ
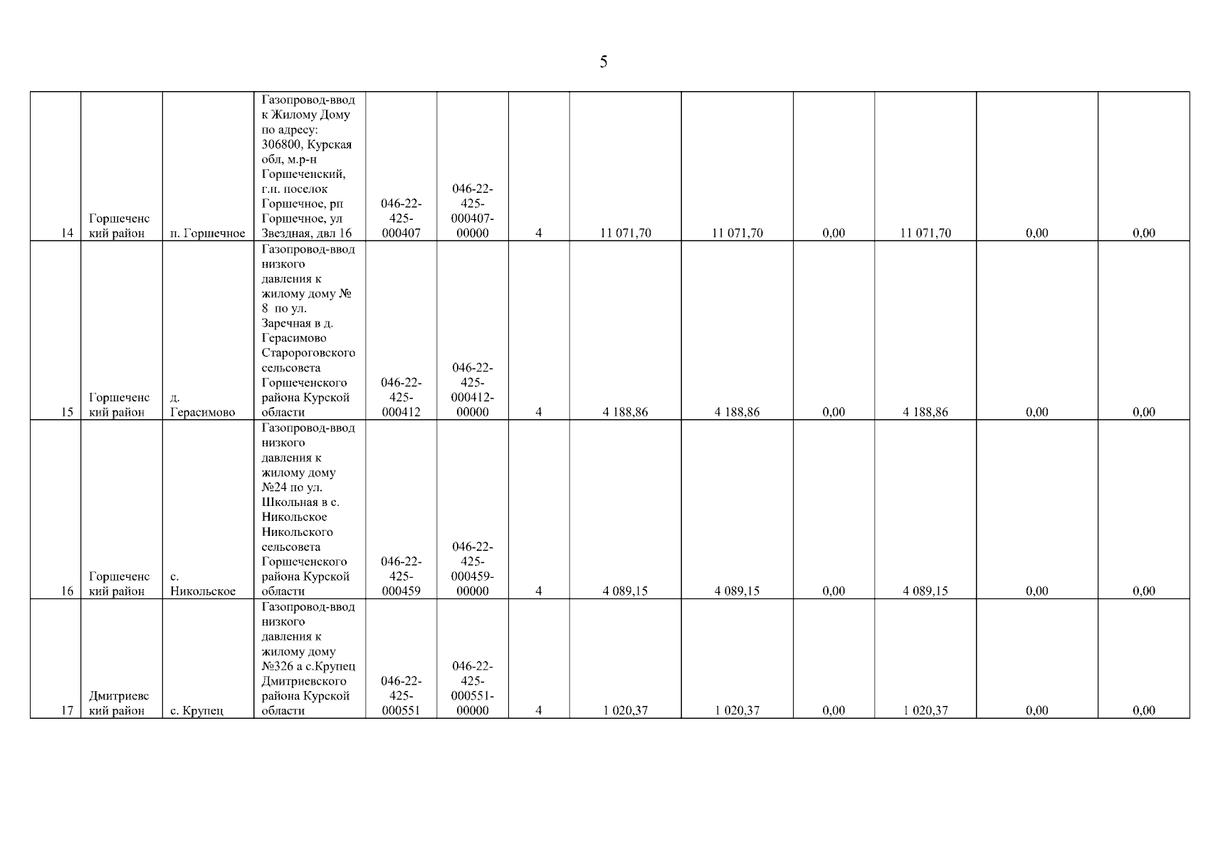
Постановление Комитета по тарифам и ценам Курской области от 19.02.2026 № 5
"О внесении изменений в постановление комитета по тарифам и ценам Курской области от 28.01.2026 № 2 "Об установлении размера экономически обоснованных расходов АО "Газпром газораспределение Курск" в рамках догазификации за III квартал 2025 года"
(Зарегистрирован 19.02.2026 № 75.26.24)
Номер опубликования: 4601202602240001
Дата опубликования: 24.02.2026
Страница №7 из 187:
Увеличить