Официальное опубликование правовых актов
ОФИЦИАЛЬНОЕ ОПУБЛИКОВАНИЕ
Постановление Правительства Ленинградской области от 28.04.2016 № 128
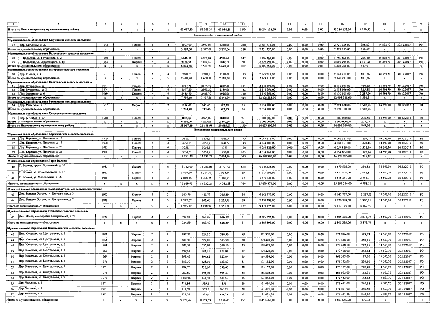
"О внесении изменения в постановление Правительства Ленинградской области от 13 ноября 2015 года № 433 "Об утверждении Краткосрочного плана реализации в 2016 году Региональной программы капитального ремонта общего имущества в многоквартирных домах, расположенных на территории Ленинградской области, на 2014 – 2043 годы"
Номер опубликования: 4700201605060007
Дата опубликования: 06.05.2016
Страница №3 из 17:
Увеличить