Официальное опубликование правовых актов
ОФИЦИАЛЬНОЕ ОПУБЛИКОВАНИЕ
Постановление Правительства Ленинградской области от 28.02.2017 № 37
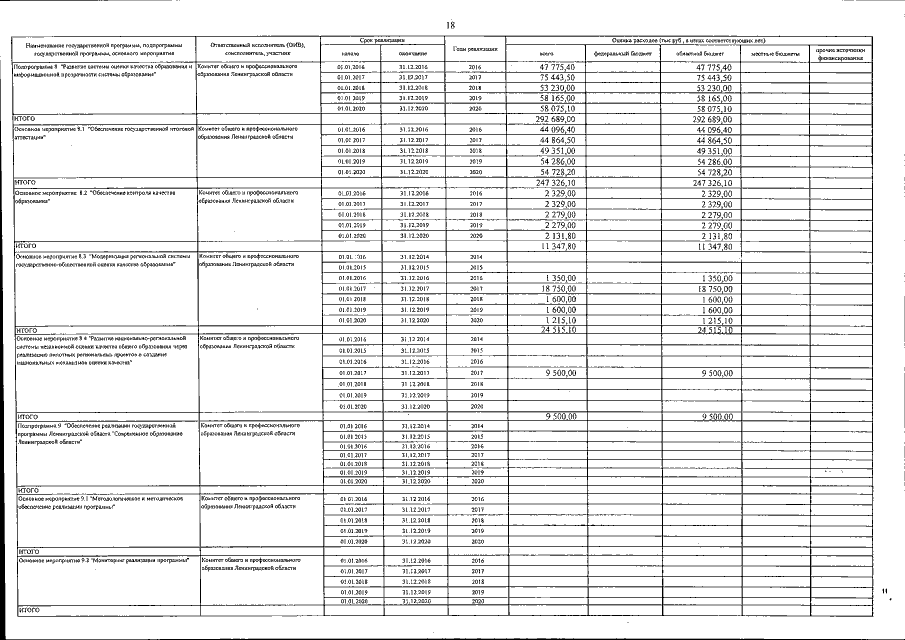
"О внесении изменений в постановление Правительства Ленинградской области от 14 ноября 2013 года № 398 "О государственной программе Ленинградской области "Современное образование Ленинградской области"
Номер опубликования: 4700201703060007
Дата опубликования: 06.03.2017
Страница №19 из 19:
Увеличить