Официальное опубликование правовых актов
ОФИЦИАЛЬНОЕ ОПУБЛИКОВАНИЕ
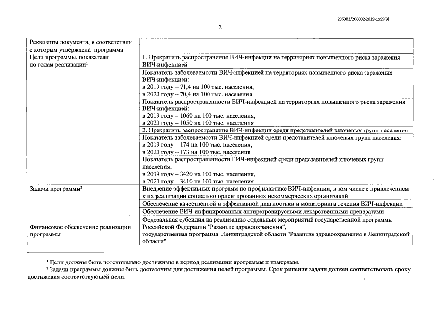
Постановление Правительства Ленинградской области от 29.03.2019 № 129
"Об утверждении Межведомственной программы по профилактике ВИЧ-инфекции в ключевых группах населения Ленинградской области на 2019 – 2020 годы"
Номер опубликования: 4700201904030005
Дата опубликования: 03.04.2019
Страница №3 из 16:
Увеличить