Официальное опубликование правовых актов
ОФИЦИАЛЬНОЕ ОПУБЛИКОВАНИЕ
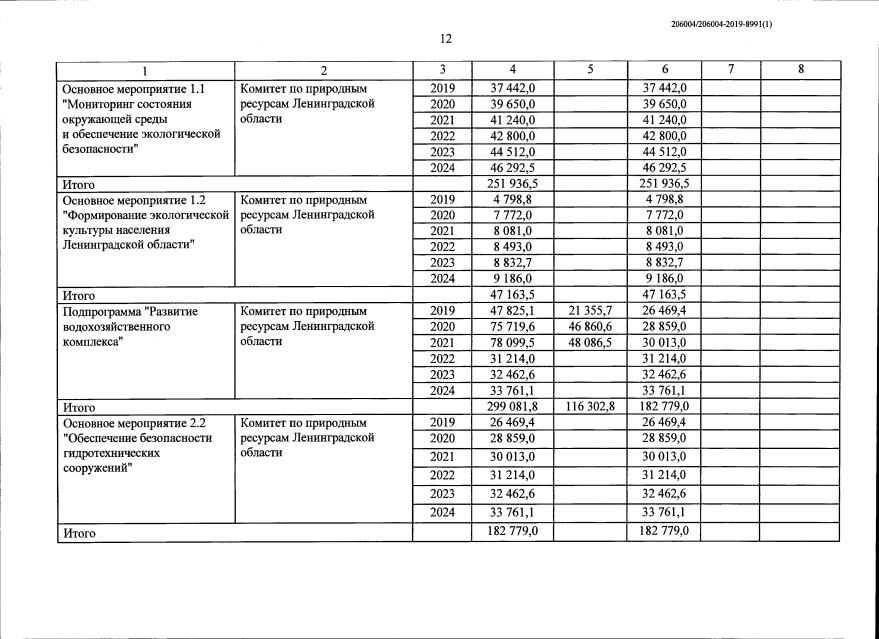
Постановление Правительства Ленинградской области от 16.12.2019 № 588
"О внесении изменений в постановление Правительства Ленинградской области от 31 октября 2013 года № 368 "О государственной программе Ленинградской области "Охрана окружающей среды Ленинградской области"
Номер опубликования: 4700201912200016
Дата опубликования: 20.12.2019
Страница №13 из 21:
Увеличить