Официальное опубликование правовых актов
ОФИЦИАЛЬНОЕ ОПУБЛИКОВАНИЕ
Постановление Правительства Ленинградской области от 13.12.2019 № 587
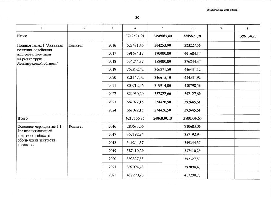
"О внесении изменений в постановление Правительства Ленинградской области от 7 декабря 2015 года № 466 "Об утверждении государственной программы Ленинградской области "Содействие занятости населения Ленинградской области"
Номер опубликования: 4700201912230005
Дата опубликования: 23.12.2019
Страница №31 из 45:
Увеличить