Официальное опубликование правовых актов
ОФИЦИАЛЬНОЕ ОПУБЛИКОВАНИЕ
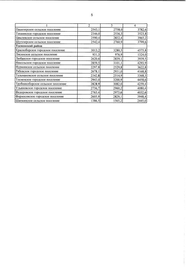
Постановление Правительства Ленинградской области от 27.12.2019 № 634
"О размерах региональных стандартов стоимости жилищно-коммунальных услуг в Ленинградской области с 1 января по 30 июня 2020 года"
Номер опубликования: 4700201912300024
Дата опубликования: 30.12.2019
Страница №17 из 17:
Увеличить