Официальное опубликование правовых актов
ОФИЦИАЛЬНОЕ ОПУБЛИКОВАНИЕ
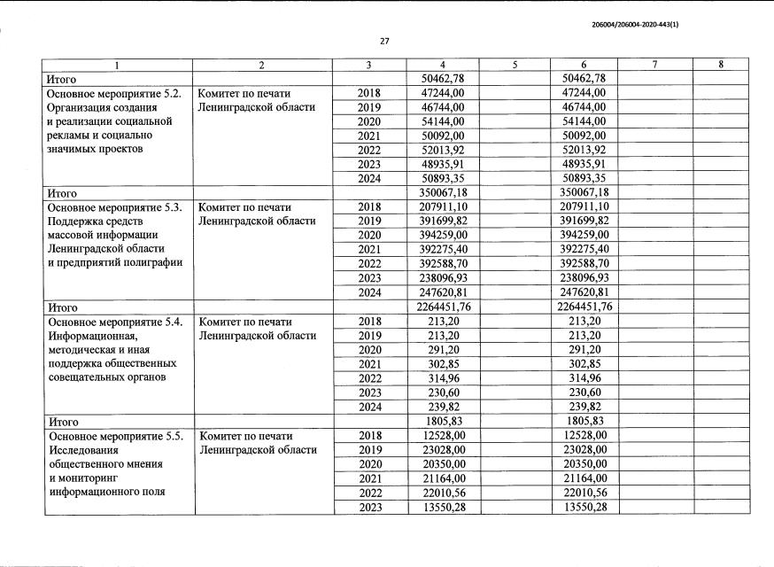
Постановление Правительства Ленинградской области от 15.01.2020 № 5
"О внесении изменений в постановление Правительства Ленинградской области от 14 ноября 2013 года № 399 "Об утверждении государственной программы Ленинградской области "Устойчивое общественное развитие в Ленинградской области"
Номер опубликования: 4700202001240002
Дата опубликования: 24.01.2020
Страница №28 из 37:
Увеличить