Официальное опубликование правовых актов
ОФИЦИАЛЬНОЕ ОПУБЛИКОВАНИЕ
Постановление Правительства Ленинградской области от 27.01.2020 № 24
"О внесении изменений в Генеральный план муниципального образования "Большелуцкое сельское поселение" муниципального образования "Кингисеппский муниципальный район" Ленинградской области"
Номер опубликования: 4700202001300001
Дата опубликования: 30.01.2020
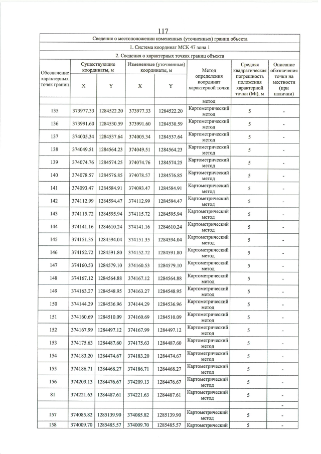
Страница №125 из 181:
Увеличить