Официальное опубликование правовых актов
ОФИЦИАЛЬНОЕ ОПУБЛИКОВАНИЕ
Постановление Правительства Ленинградской области от 27.02.2020 № 84
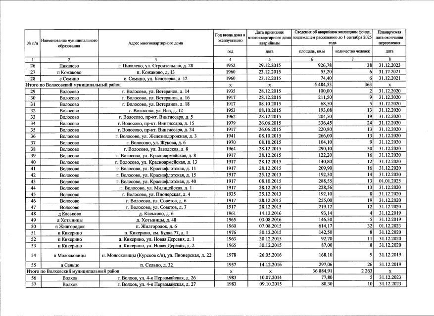
"О внесении изменений в постановление Правительства Ленинградской области от 1 апреля 2019 года № 134 "Об утверждении региональной адресной программы "Переселение граждан из аварийного жилищного фонда на территории Ленинградской области в 2019 - 2025 годах" и Порядка предоставления и расходования субсидий из областного бюджета Ленинградской области и поступивших в порядке софинансирования средств Фонда содействия реформированию жилищно-коммунального хозяйства бюджетам муниципальных образований Ленинградской области на переселение граждан из аварийного жилищного фонда в рамках государственной программы Ленинградской области "Формирование городской среды и обеспечение качественным жильем граждан на территории Ленинградской области"
Номер опубликования: 4700202003020009
Дата опубликования: 02.03.2020
Страница №26 из 73:
Увеличить