Официальное опубликование правовых актов
ОФИЦИАЛЬНОЕ ОПУБЛИКОВАНИЕ
Постановление Правительства Ленинградской области от 13.05.2020 № 286
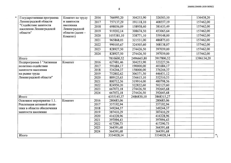
"О внесении изменений в постановление Правительства Ленинградской области от 7 декабря 2015 года № 466 "Об утверждении государственной программы Ленинградской области "Содействие занятости населения Ленинградской области"
Номер опубликования: 4700202005200001
Дата опубликования: 20.05.2020
Страница №9 из 10:
Увеличить