Официальное опубликование правовых актов
ОФИЦИАЛЬНОЕ ОПУБЛИКОВАНИЕ
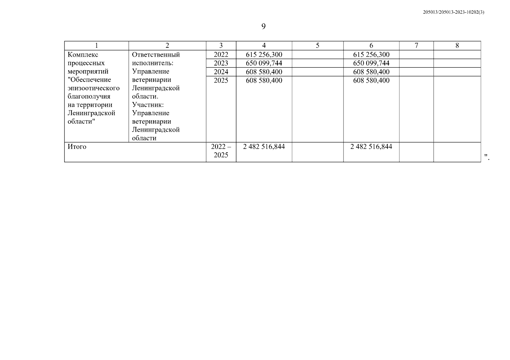
Постановление Правительства Ленинградской области от 01.12.2023 № 857
"О внесении изменений в постановление Правительства Ленинградской области от 29 декабря 2012 года № 463 "О государственной программе Ленинградской области "Развитие сельского хозяйства Ленинградской области"
Номер опубликования: 4700202312080009
Дата опубликования: 08.12.2023
Страница №10 из 10:
Увеличить