Официальное опубликование правовых актов
ОФИЦИАЛЬНОЕ ОПУБЛИКОВАНИЕ
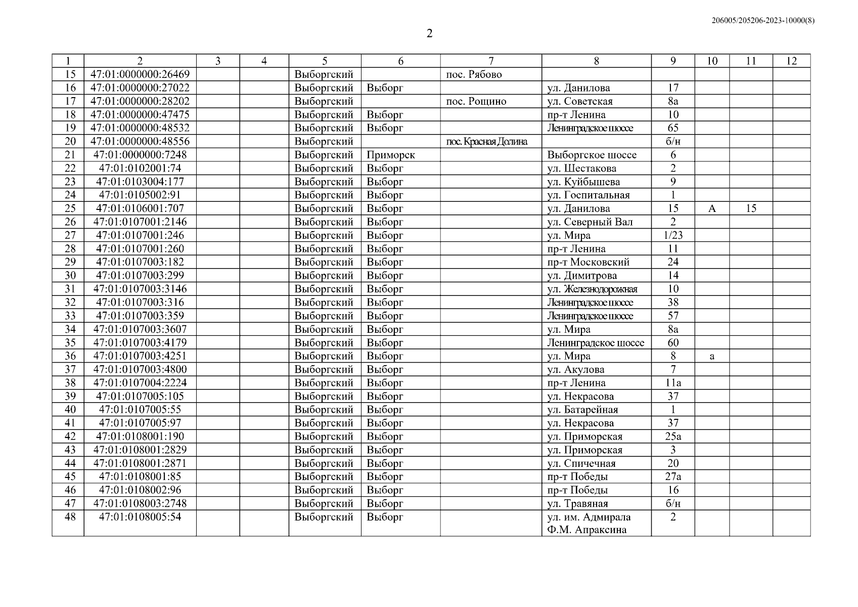
Постановление Правительства Ленинградской области от 04.12.2023 № 861
"Об определении Перечня зданий (строений, сооружений) и помещений в них, в отношении которых налоговая база определяется как кадастровая стоимость, на 2024 год"
Номер опубликования: 4700202312110012
Дата опубликования: 11.12.2023
Страница №3 из 26:
Увеличить