Официальное опубликование правовых актов
ОФИЦИАЛЬНОЕ ОПУБЛИКОВАНИЕ
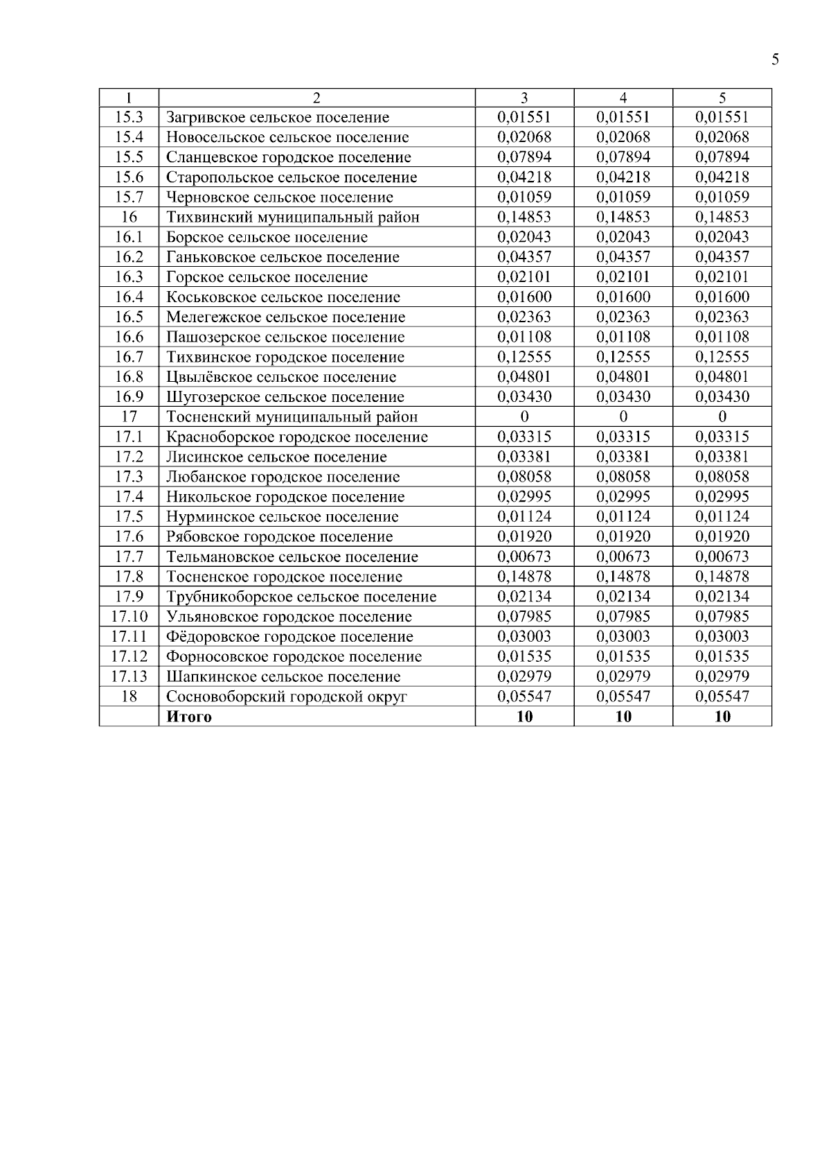
Закон Ленинградской области от 19.12.2023 № 145-оз
"Об областном бюджете Ленинградской области на 2024 год и на плановый период 2025 и 2026 годов"
Номер опубликования: 4700202312210001
Дата опубликования: 21.12.2023
Страница №33 из 560:
Увеличить