Официальное опубликование правовых актов
ОФИЦИАЛЬНОЕ ОПУБЛИКОВАНИЕ
Постановление Правительства Ленинградской области от 18.03.2024 № 181
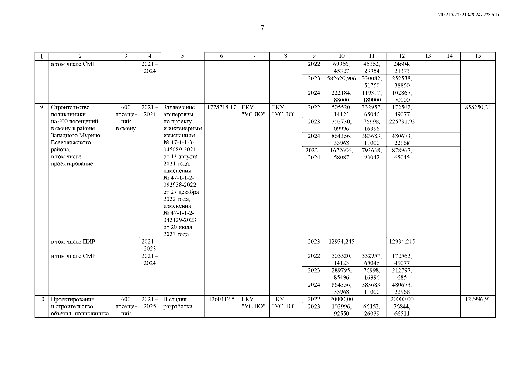
"О внесении изменения в постановление Правительства Ленинградской области от 18 июля 2016 года № 245 "Об утверждении Перечня объектов государственной программы Ленинградской области "Развитие здравоохранения в Ленинградской области"
Номер опубликования: 4700202403250011
Дата опубликования: 25.03.2024
Страница №8 из 10:
Увеличить