Официальное опубликование правовых актов
ОФИЦИАЛЬНОЕ ОПУБЛИКОВАНИЕ
Постановление Правительства Ленинградской области от 26.03.2024 № 196
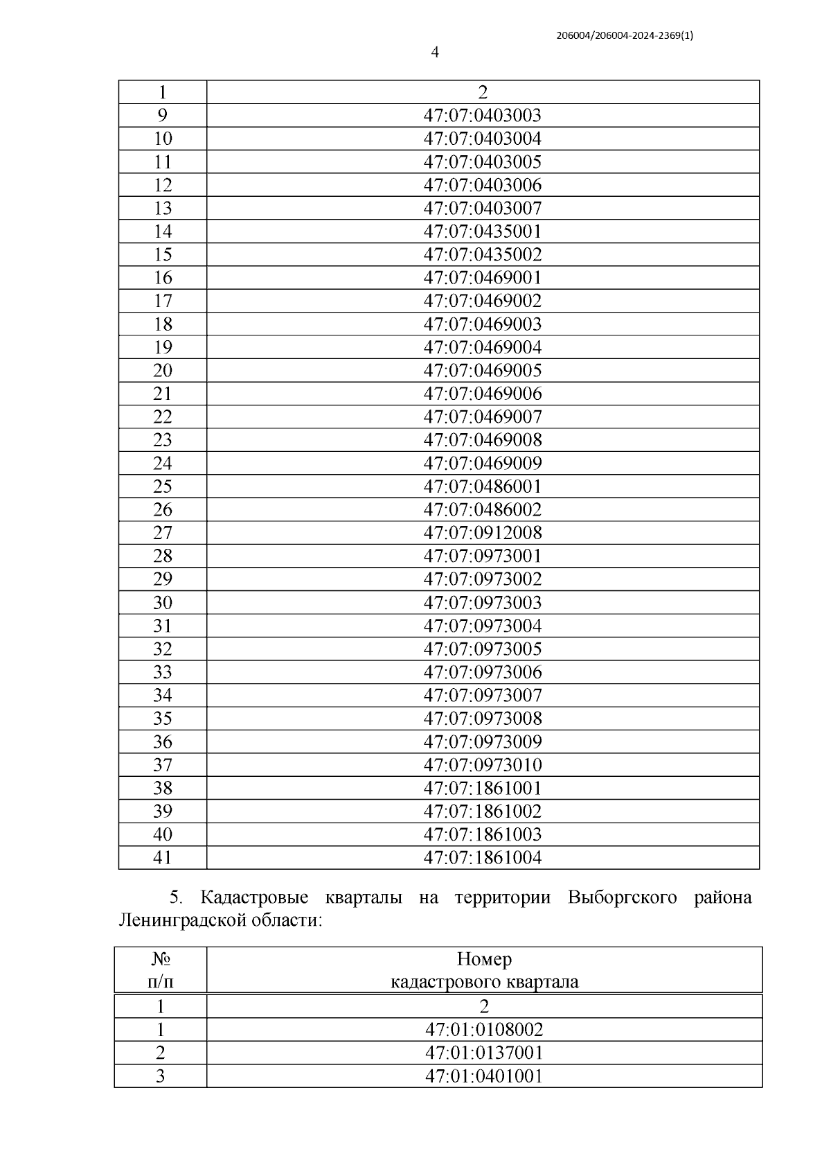
"О внесении изменения в постановление Правительства Ленинградской области от 18 января 2019 года № 4 "Об утверждении Перечня кадастровых кварталов, в границах которых планируется проведение комплексных кадастровых работ на территории Ленинградской области"
Номер опубликования: 4700202404010003
Дата опубликования: 01.04.2024
Страница №5 из 25:
Увеличить