Официальное опубликование правовых актов
ОФИЦИАЛЬНОЕ ОПУБЛИКОВАНИЕ
Постановление Правительства Ленинградской области от 20.06.2024 № 436
"О внесении изменений в Генеральный план муниципального образования Низинское сельское поселение Ломоносовского муниципального района Ленинградской области применительно к территории, расположенной южнее производственно-административной зоны Порзолово, и населенному пункту деревне Марьино"
Номер опубликования: 4700202406280006
Дата опубликования: 28.06.2024
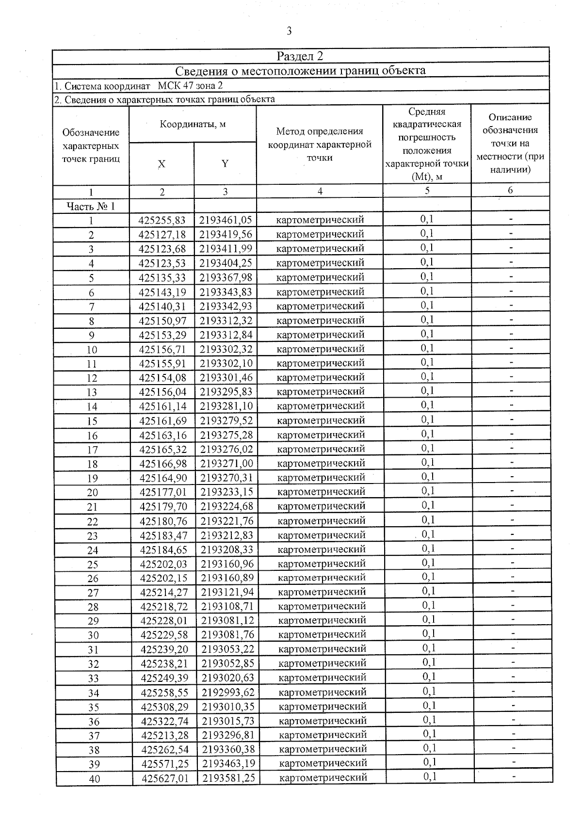
Страница №12 из 17:
Увеличить