Официальное опубликование правовых актов
ОФИЦИАЛЬНОЕ ОПУБЛИКОВАНИЕ
Постановление Правительства Ленинградской области от 20.08.2024 № 574
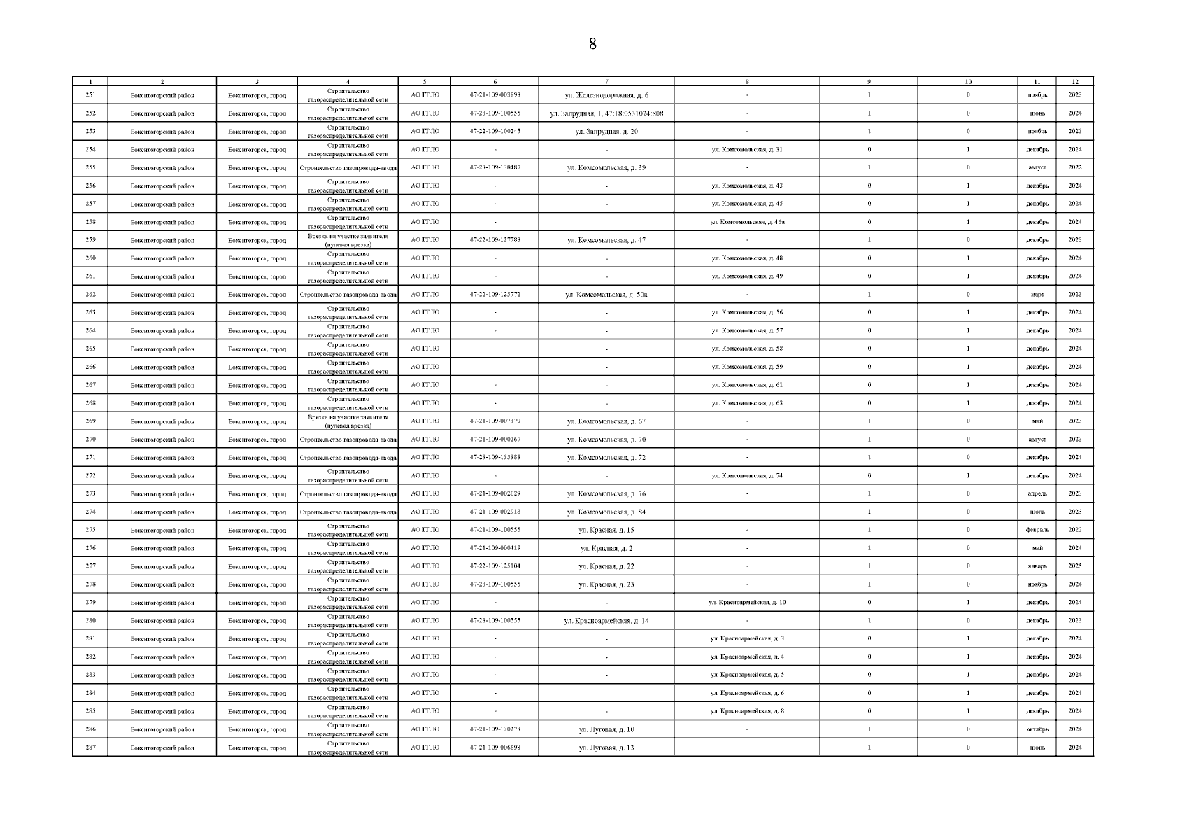
"О внесении изменений в постановление Правительства Ленинградской области от 27 июня 2022 года № 438 "О региональной программе газификации жилищно-коммунального хозяйства, промышленных и иных организаций Ленинградской области на 2022 – 2031 годы и признании утратившим силу постановления Правительства Ленинградской области от 24 декабря 2021 года № 864"
Номер опубликования: 4700202408280001
Дата опубликования: 28.08.2024
Страница №41 из 2052:
Увеличить