Официальное опубликование правовых актов
ОФИЦИАЛЬНОЕ ОПУБЛИКОВАНИЕ
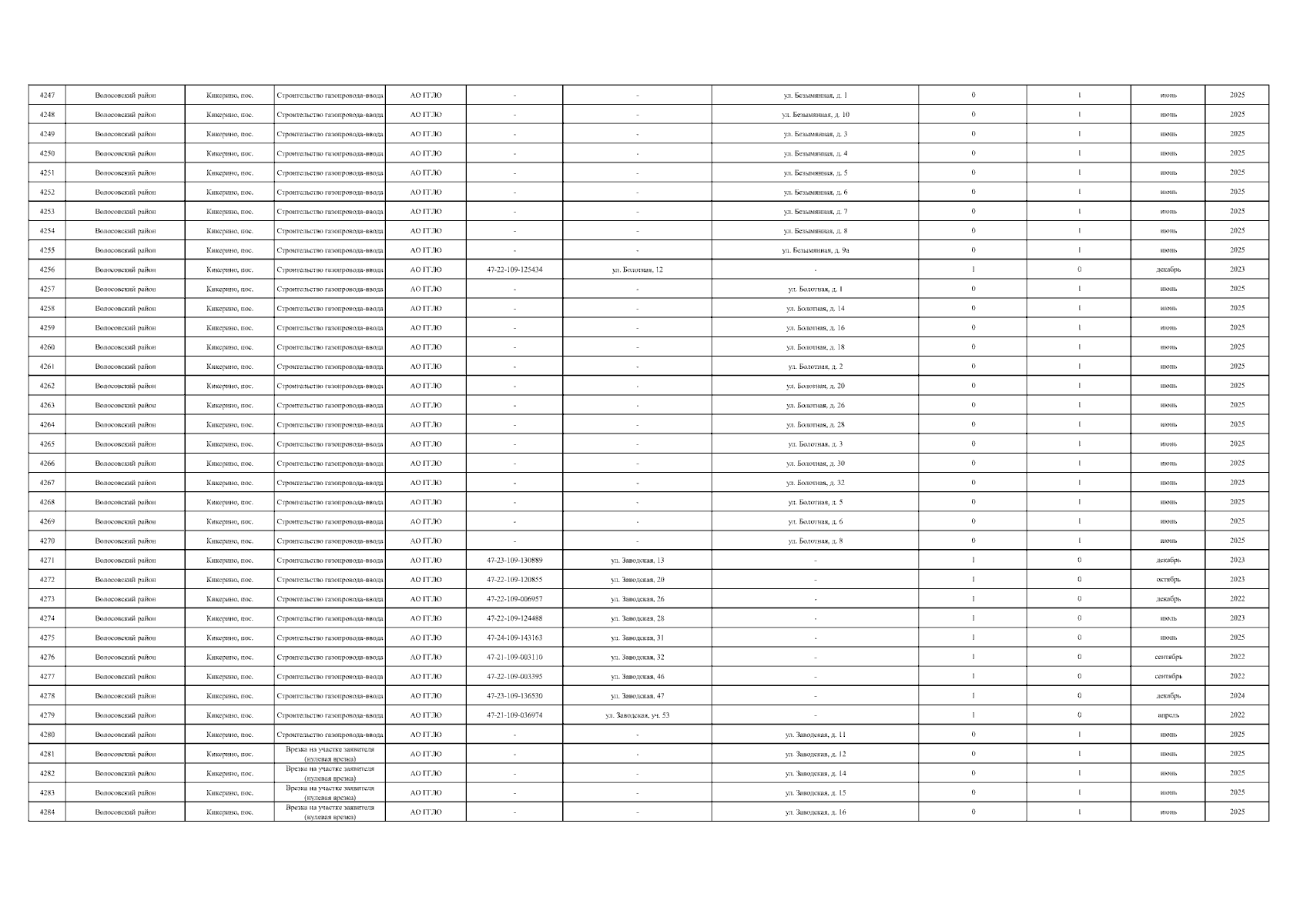
Постановление Правительства Ленинградской области от 31.01.2025 № 93
"О внесении изменений в постановление Правительства Ленинградской области от 27 июня 2022 года № 438 "О региональной программе газификации жилищно-коммунального хозяйства, промышленных и иных организаций Ленинградской области на 2022 – 2031 годы и признании утратившим силу постановления Правительства Ленинградской области от 24 декабря 2021 года № 864"
Номер опубликования: 4700202502070001
Дата опубликования: 07.02.2025
Страница №141 из 2163:
Увеличить