Официальное опубликование правовых актов
ОФИЦИАЛЬНОЕ ОПУБЛИКОВАНИЕ
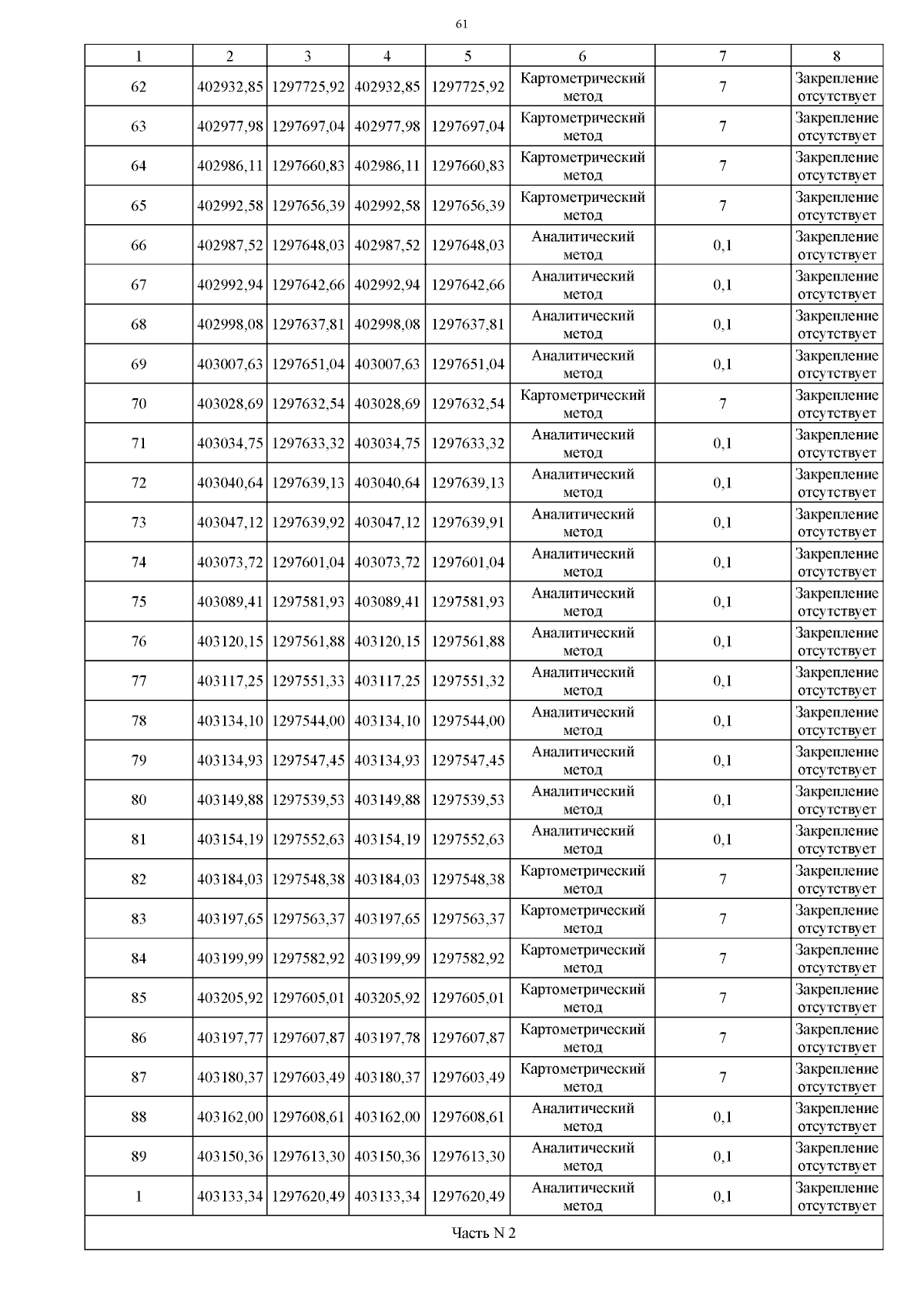
Постановление Правительства Ленинградской области от 18.03.2025 № 262
"О внесении изменений в Генеральный план муниципального образования "Нежновское сельское поселение" Кингисеппского муниципального района Ленинградской области"
Номер опубликования: 4700202503240001
Дата опубликования: 24.03.2025
Страница №83 из 136:
Увеличить