Официальное опубликование правовых актов
ОФИЦИАЛЬНОЕ ОПУБЛИКОВАНИЕ
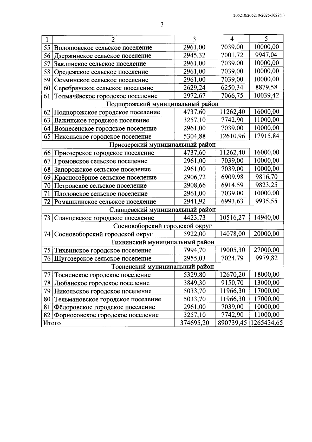
Постановление Правительства Ленинградской области от 05.06.2025 № 503
"О внесении изменения в постановление Правительства Ленинградской области от 20 января 2025 года № 35"
Номер опубликования: 4700202506110002
Дата опубликования: 11.06.2025
Страница №4 из 4:
Увеличить