Официальное опубликование правовых актов
ОФИЦИАЛЬНОЕ ОПУБЛИКОВАНИЕ
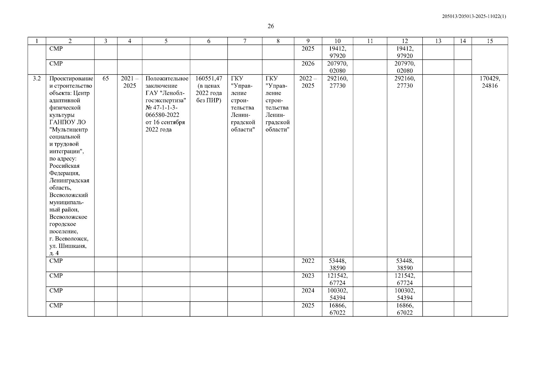
Постановление Правительства Ленинградской области от 01.12.2025 № 1004
"О внесении изменений в постановление Правительства Ленинградской области от 2 февраля 2022 года № 66"
Номер опубликования: 4700202512080014
Дата опубликования: 08.12.2025
Страница №28 из 39:
Увеличить