Официальное опубликование правовых актов
ОФИЦИАЛЬНОЕ ОПУБЛИКОВАНИЕ
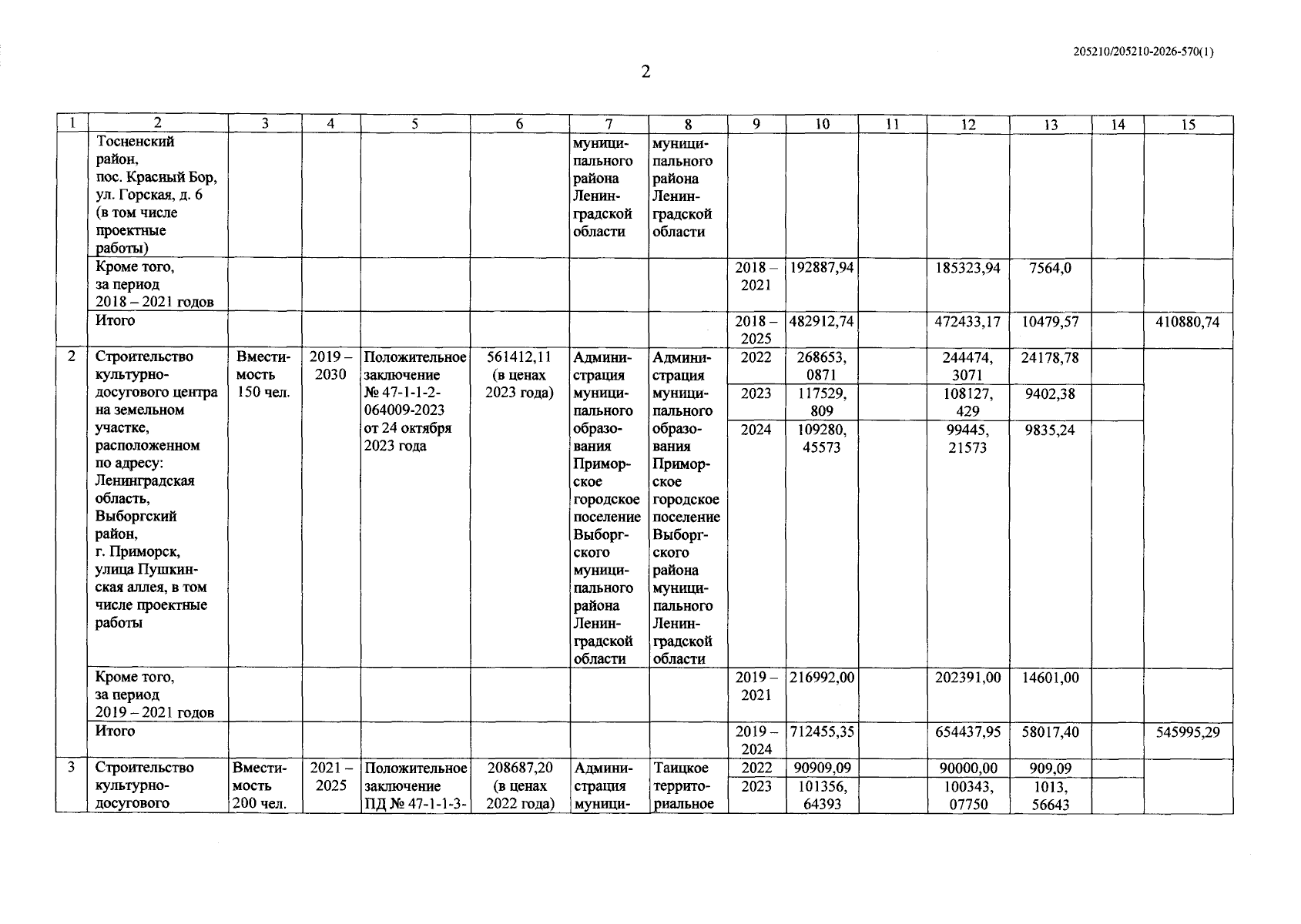
Постановление Правительства Ленинградской области от 23.01.2026 № 47
"О внесении изменений в постановление Правительства Ленинградской области от 25 августа 2016 года № 322 "Об утверждении Перечня объектов государственной программы Ленинградской области "Развитие культуры в Ленинградской области" и о распределении субсидий между муниципальными образованиями в рамках государственной программы "Развитие культуры в Ленинградской области"
Номер опубликования: 4700202601290003
Дата опубликования: 29.01.2026
Страница №4 из 19:
Увеличить