Официальное опубликование правовых актов
ОФИЦИАЛЬНОЕ ОПУБЛИКОВАНИЕ
Постановление Правительства Ленинградской области от 30.01.2026 № 73
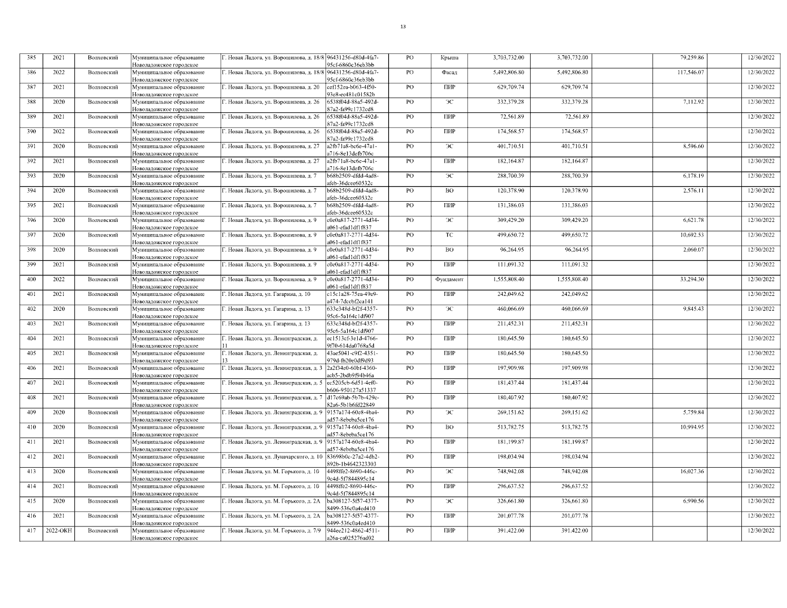
"О внесении изменений в постановление Правительства Ленинградской области от 23 июля 2019 года № 345 "О Краткосрочном плане реализации в 2020, 2021 и 2022 годах Региональной программы капитального ремонта общего имущества в многоквартирных домах, расположенных на территории Ленинградской области, на 2014 – 2043 годы"
Номер опубликования: 4700202602050002
Дата опубликования: 05.02.2026
Страница №93 из 233:
Увеличить