Официальное опубликование правовых актов
ОФИЦИАЛЬНОЕ ОПУБЛИКОВАНИЕ
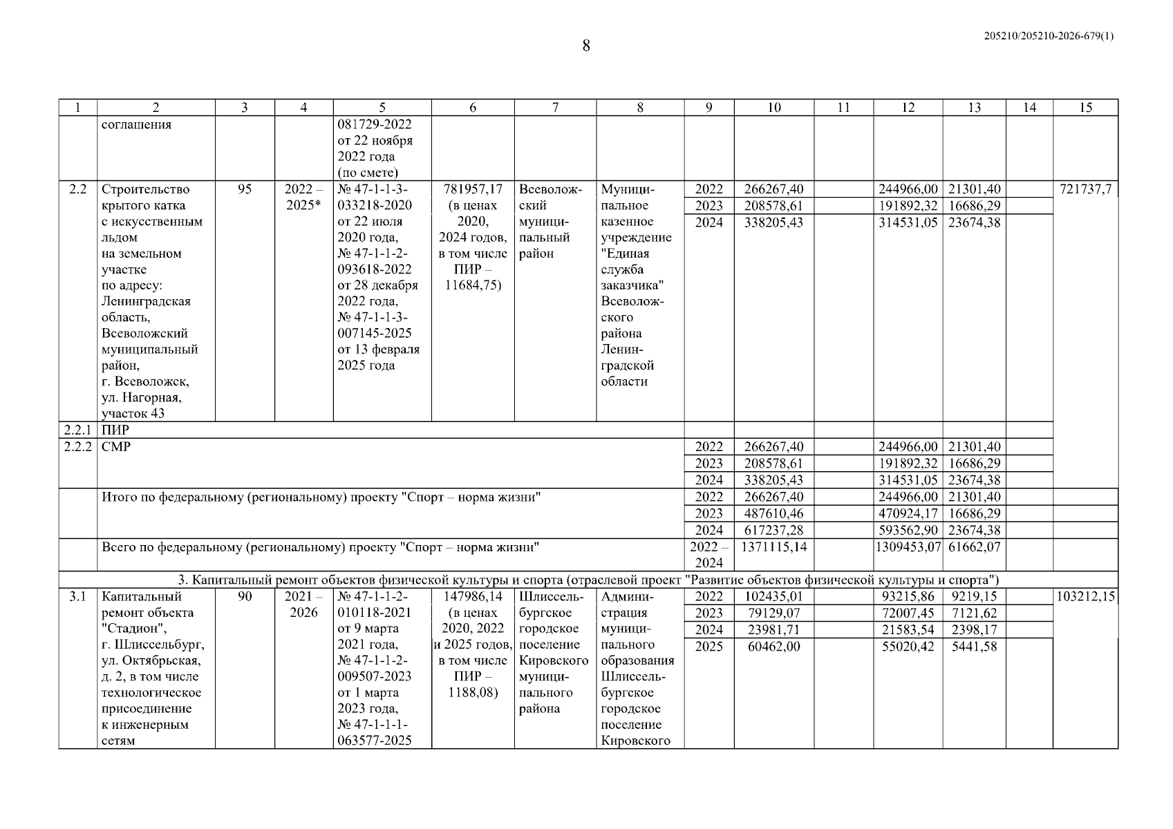
Постановление Правительства Ленинградской области от 30.01.2026 № 80
"О внесении изменений в постановление Правительства Ленинградской области от 27 ноября 2015 года № 444 "Об утверждении Перечня объектов и распределения субсидий из областного бюджета Ленинградской области бюджетам муниципальных образований Ленинградской области на реализацию мероприятий по строительству и реконструкции спортивных объектов в рамках государственной программы Ленинградской области "Развитие физической культуры и спорта в Ленинградской области"
Номер опубликования: 4700202602050005
Дата опубликования: 05.02.2026
Страница №10 из 30:
Увеличить