Официальное опубликование правовых актов
ОФИЦИАЛЬНОЕ ОПУБЛИКОВАНИЕ
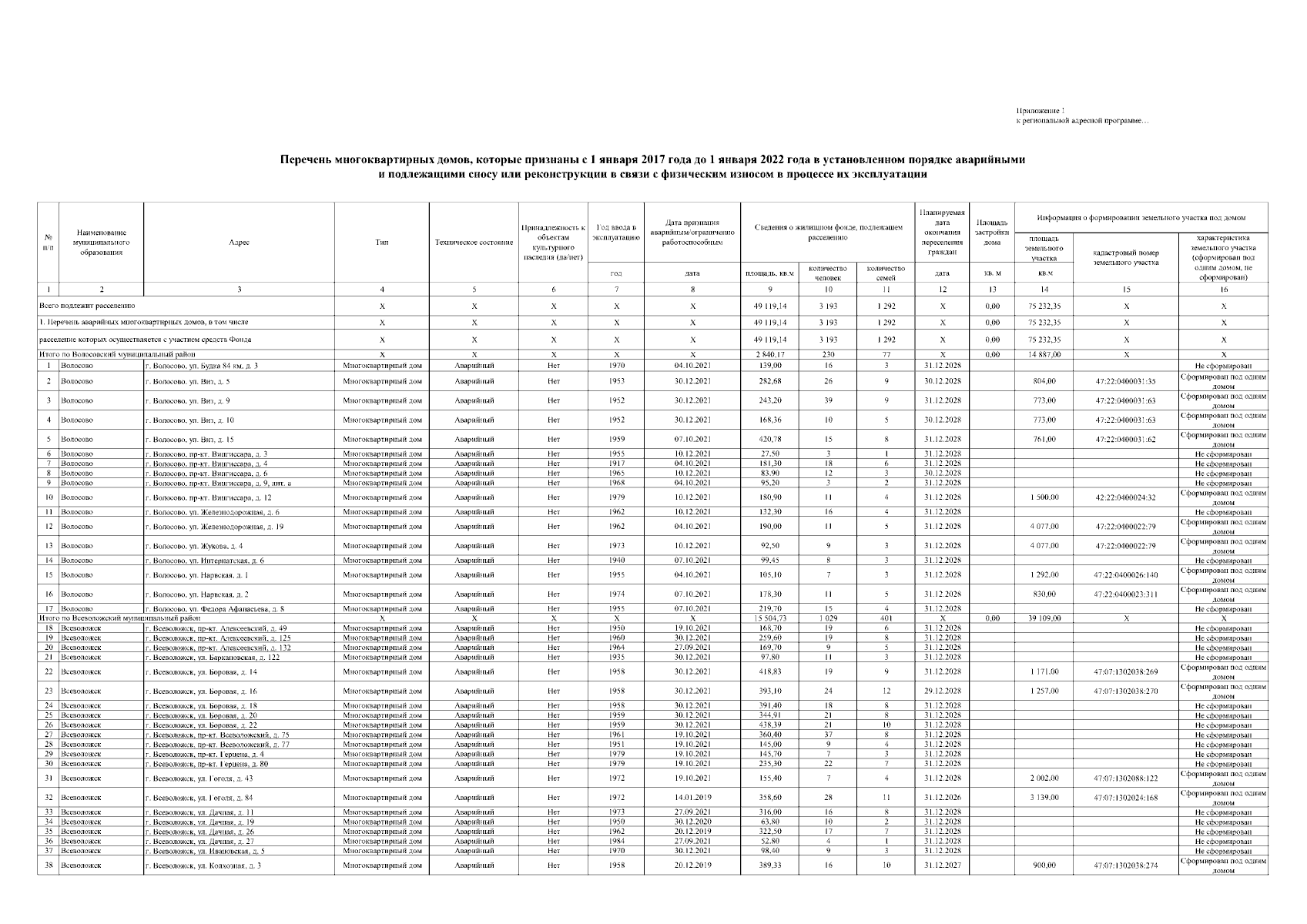
Постановление Правительства Ленинградской области от 30.01.2026 № 82
"О внесении изменений в постановление Правительства Ленинградской области от 24 октября 2025 года № 897 "Об утверждении региональной адресной программы "Переселение граждан из аварийного жилищного фонда на территории Ленинградской области в 2025 – 2026 годах"
Номер опубликования: 4700202602050012
Дата опубликования: 05.02.2026
Страница №22 из 33:
Увеличить