Официальное опубликование правовых актов
ОФИЦИАЛЬНОЕ ОПУБЛИКОВАНИЕ
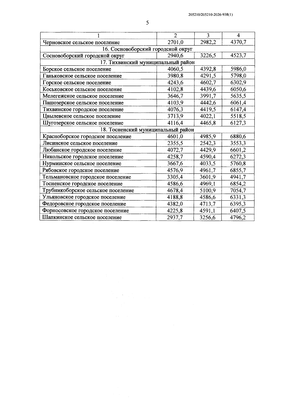
Постановление Правительства Ленинградской области от 06.02.2026 № 106
"О размерах региональных стандартов стоимости жилищно-коммунальных услуг в Ленинградской области с 1 января по 30 сентября 2026 года"
Номер опубликования: 4700202602110003
Дата опубликования: 11.02.2026
Страница №7 из 20:
Увеличить