Официальное опубликование правовых актов
ОФИЦИАЛЬНОЕ ОПУБЛИКОВАНИЕ
Постановление Правительства Ленинградской области от 11.02.2026 № 114
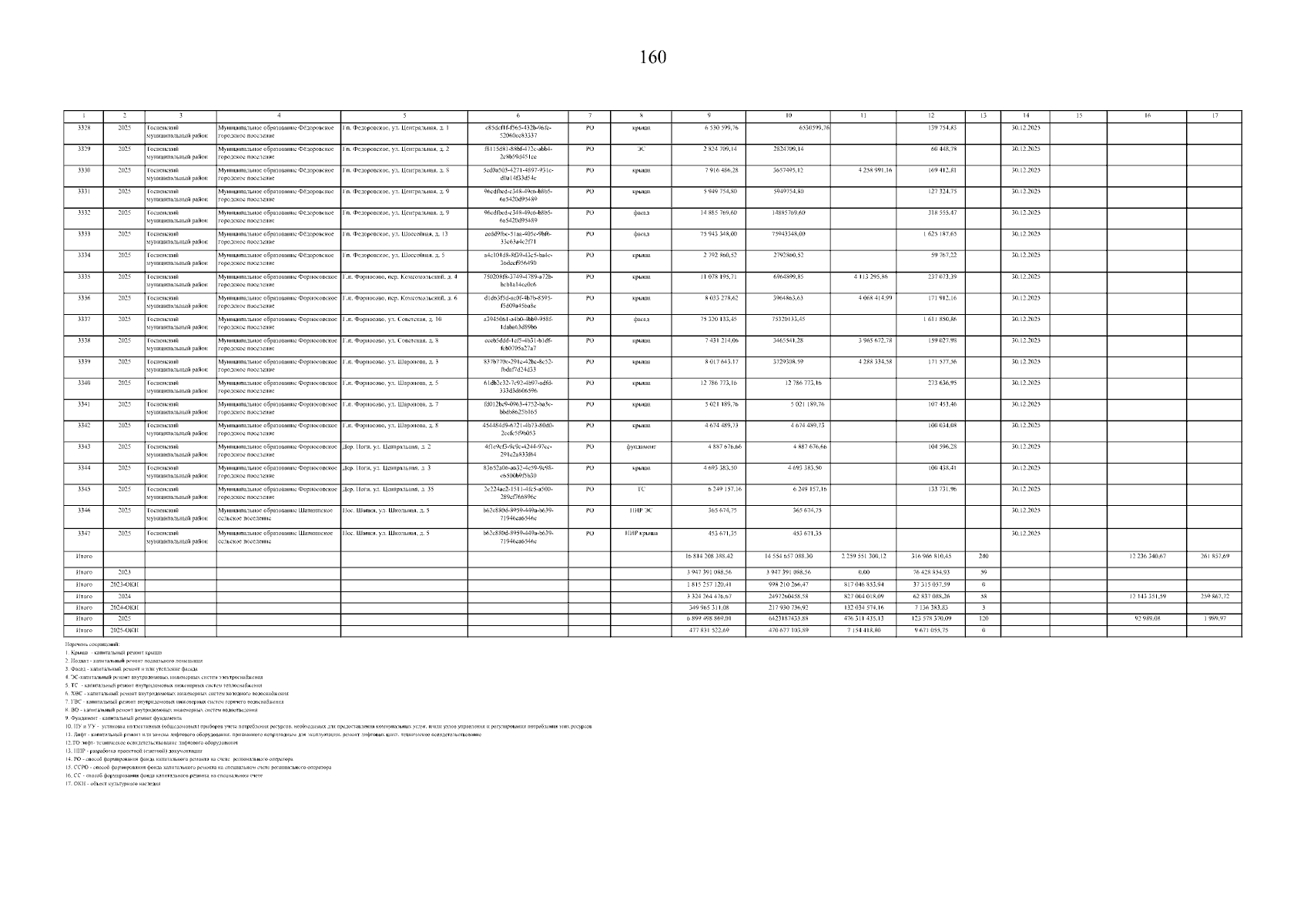
"О внесении изменений в постановление Правительства Ленинградской области от 29 июля 2022 года № 534 "О Краткосрочном плане реализации в 2023, 2024 и 2025 годах Региональной программы капитального ремонта общего имущества в многоквартирных домах, расположенных на территории Ленинградской области, на 2014 – 2043 годы"
Номер опубликования: 4700202602160003
Дата опубликования: 16.02.2026
Страница №161 из 161:
Увеличить