Официальное опубликование правовых актов
ОФИЦИАЛЬНОЕ ОПУБЛИКОВАНИЕ
Постановление Правительства Ленинградской области от 25.03.2026 № 229
"О внесении изменений в Генеральный план муниципального образования Сланцевское городское поселение Сланцевского муниципального района Ленинградской области"
Номер опубликования: 4700202603300009
Дата опубликования: 30.03.2026
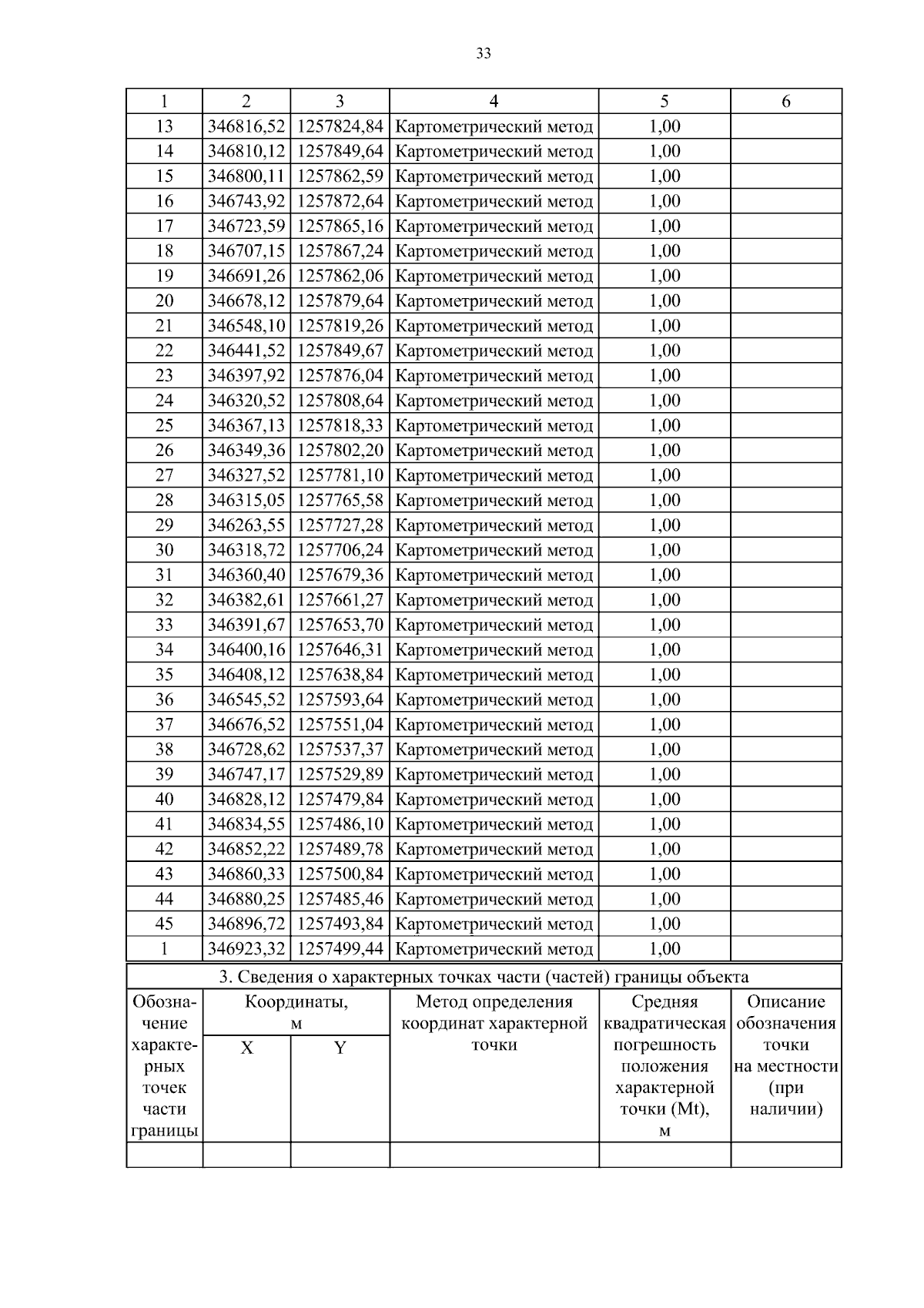
Страница №57 из 69:
Увеличить