Официальное опубликование правовых актов
ОФИЦИАЛЬНОЕ ОПУБЛИКОВАНИЕ
Постановление Правительства Ленинградской области от 30.03.2026 № 244
"Об утверждении Генерального плана муниципального образования Бегуницкое сельское поселение Волосовского муниципального района Ленинградской области"
Номер опубликования: 4700202604030017
Дата опубликования: 03.04.2026
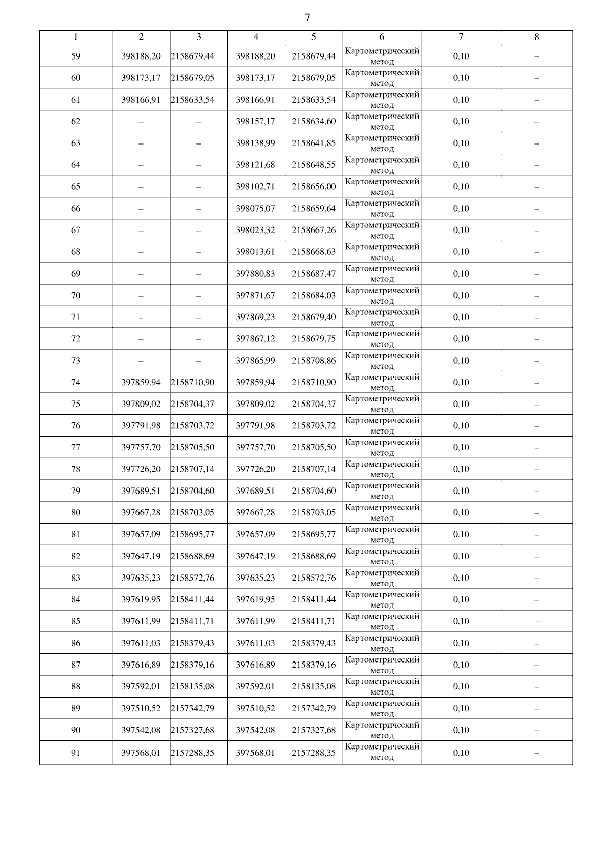
Страница №25 из 274:
Увеличить