Официальное опубликование правовых актов
ОФИЦИАЛЬНОЕ ОПУБЛИКОВАНИЕ
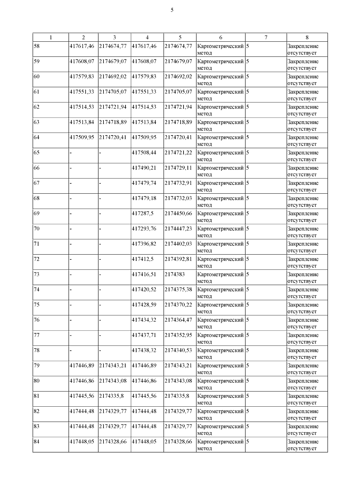
Постановление Правительства Ленинградской области от 02.04.2026 № 264
"О внесении изменений в Генеральный план муниципального образования Гостилицкое сельское поселение Ломоносовского муниципального района Ленинградской области"
Номер опубликования: 4700202604080006
Дата опубликования: 08.04.2026
Страница №31 из 138:
Увеличить