Официальное опубликование правовых актов
ОФИЦИАЛЬНОЕ ОПУБЛИКОВАНИЕ
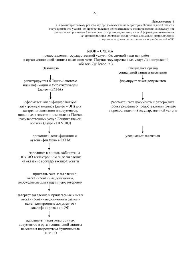
Приказ Комитета по социальной защите населения Ленинградской области от 10.08.2015 № 10
"Об утверждении административных регламентов предоставления на территории Ленинградской области государственных услуг по предоставлению гражданам, подвергшимся воздействию радиации, компенсаций и иных выплат"
Номер опубликования: 4701201508130003
Дата опубликования: 13.08.2015
Страница №270 из 502:
Увеличить