Официальное опубликование правовых актов
ОФИЦИАЛЬНОЕ ОПУБЛИКОВАНИЕ
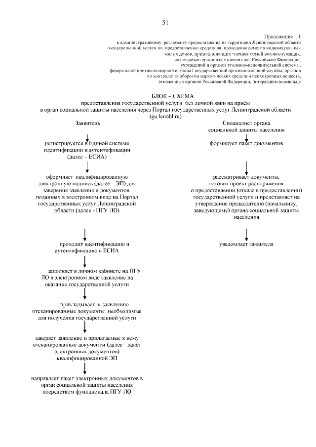
Приказ Комитета по социальной защите населения Ленинградской области от 31.08.2015 № 14
"Об утверждении административного регламента предоставления на территории Ленинградской области государственной услуги по предоставлению компенсаций и иных выплат отдельным категориям граждан из числа военнослужащих, граждан, призванных на военные сборы и членов семей погибших (умерших) военнослужащих и сотрудников некоторых федеральных органов исполнительной власти"
Номер опубликования: 4701201509040002
Дата опубликования: 04.09.2015
Страница №53 из 144:
Увеличить