Официальное опубликование правовых актов
ОФИЦИАЛЬНОЕ ОПУБЛИКОВАНИЕ
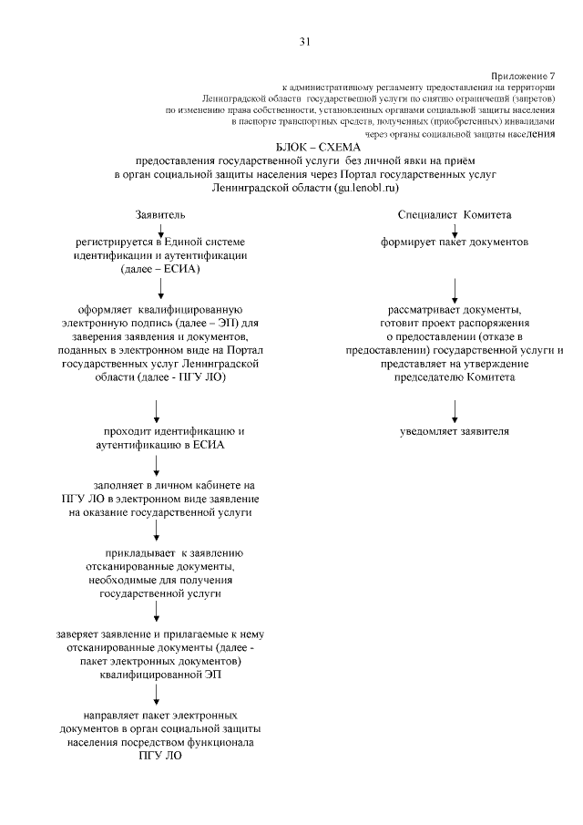
Приказ Комитета по социальной защите населения Ленинградской области от 31.08.2015 № 12
"Об утверждении административного регламента предоставления на территории Ленинградской области государственной услуги по снятию ограничений (запретов) по изменению права собственности, установленных органами социальной защиты населения в паспорте транспортных средств, полученных (приобретенных) инвалидами через органы социальной защиты населения"
Номер опубликования: 4701201509040004
Дата опубликования: 04.09.2015
Страница №33 из 35:
Увеличить