Официальное опубликование правовых актов
ОФИЦИАЛЬНОЕ ОПУБЛИКОВАНИЕ
Приказ Комитета по социальной защите населения Ленинградской области от 31.08.2015 № 13
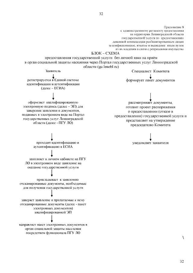
"Об утверждении административного регламента предоставления на территории Ленинградской области государственной услуги по предоставлению денежной компенсации реабилитированным лицам за конфискованное, изъятое и вышедшее иным путем из их владения в связи с репрессиями имущество"
Номер опубликования: 4701201509040005
Дата опубликования: 04.09.2015
Страница №33 из 34:
Увеличить