Официальное опубликование правовых актов
ОФИЦИАЛЬНОЕ ОПУБЛИКОВАНИЕ
Приказ Ленинградского областного комитета по управлению государственным имуществом от 26.07.2017 № 22
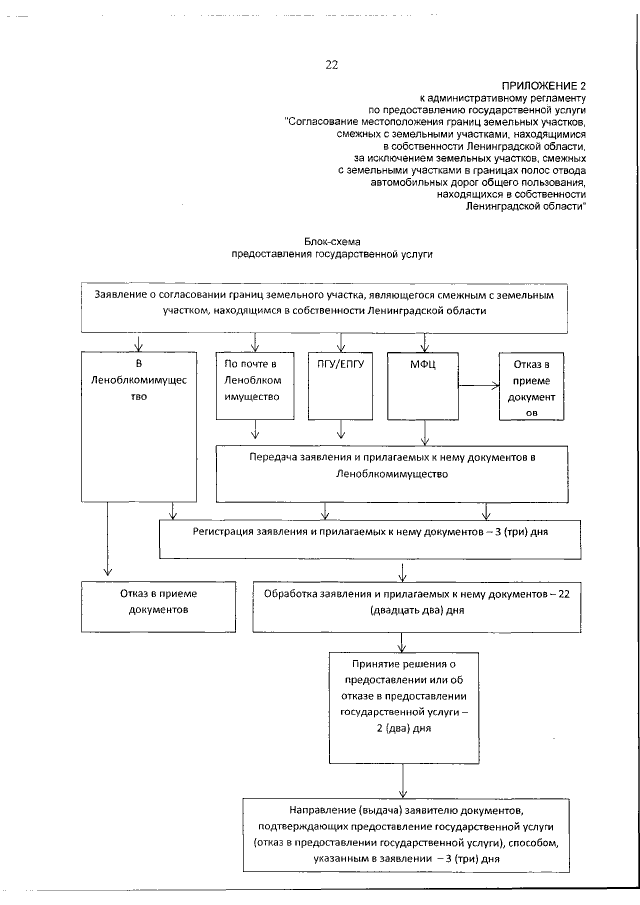
"О внесении изменений в приказ Ленинградского областного комитета по управлению государственным имуществом от 18 февраля 2014 года № 3 "Об утверждении Административного регламента Ленинградского областного комитета по управлению государственным имуществом по предоставлению государственной услуги "По согласованию границ земельных участков, смежных с земельными участками, находящимися в собственности Ленинградской области, за исключением земельных участков, смежных с земельными участками в границах полос отвода автомобильных дорог общего пользования, находящихся в собственности Ленинградской области"
Номер опубликования: 4701201707310002
Дата опубликования: 31.07.2017
Страница №25 из 25:
Увеличить