Официальное опубликование правовых актов
ОФИЦИАЛЬНОЕ ОПУБЛИКОВАНИЕ
Приказ Комитета градостроительной политики Ленинградской области от 12.03.2024 № 27
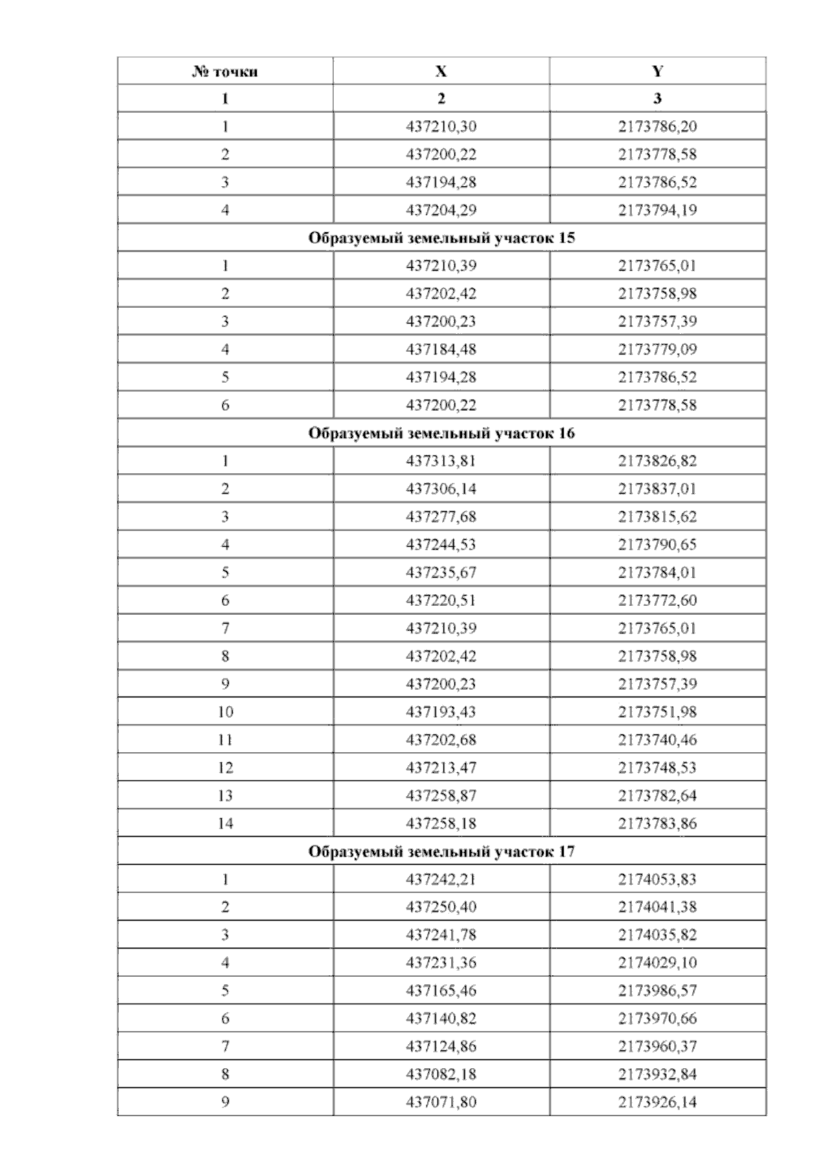
"Об утверждении проекта планировки территории и проекта межевания территории, включающей земельный участок с кадастровым номером 47:14:1502011:49, расположенный по адресу: Ленинградская область, Ломоносовский муниципальный район, Большеижорское городское поселение, пос. Большая Ижора, ш. Приморское, уч. 202"
(Зарегистрирован 12.03.2024 № 01-06/27)
Номер опубликования: 4701202403190006
Дата опубликования: 19.03.2024
Страница №33 из 36:
Увеличить