Официальное опубликование правовых актов
ОФИЦИАЛЬНОЕ ОПУБЛИКОВАНИЕ
Приказ Комитета градостроительной политики Ленинградской области от 31.05.2024 № 90
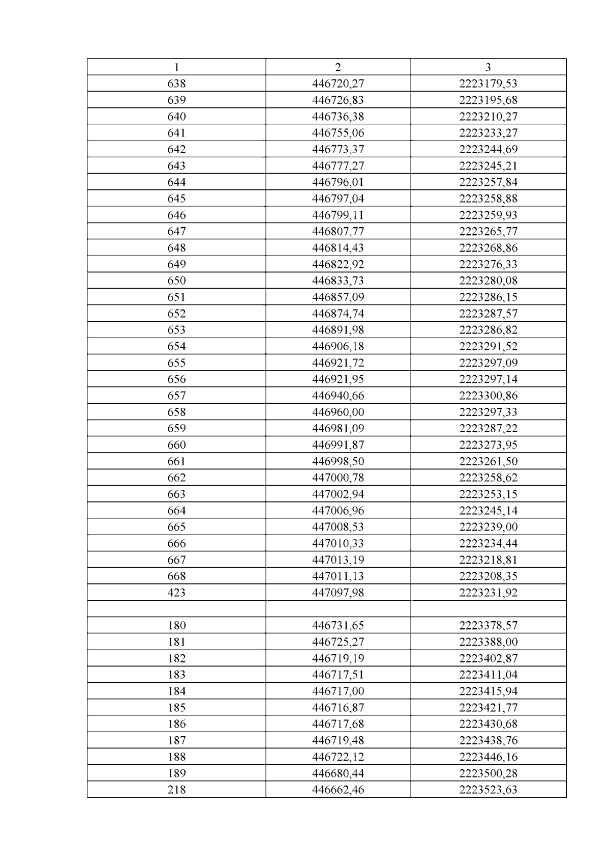
"Об утверждении проекта планировки территории и проекта межевания территории, включающей южную часть г. Мурино муниципального образования Муринское городское поселение Всеволожского муниципального района Ленинградской области"
(Зарегистрирован 31.05.2024 № 01-06-90/2024)
Номер опубликования: 4701202406070003
Дата опубликования: 07.06.2024
Страница №55 из 297:
Увеличить