Официальное опубликование правовых актов
ОФИЦИАЛЬНОЕ ОПУБЛИКОВАНИЕ
Приказ Комитета градостроительной политики Ленинградской области от 20.08.2024 № 130
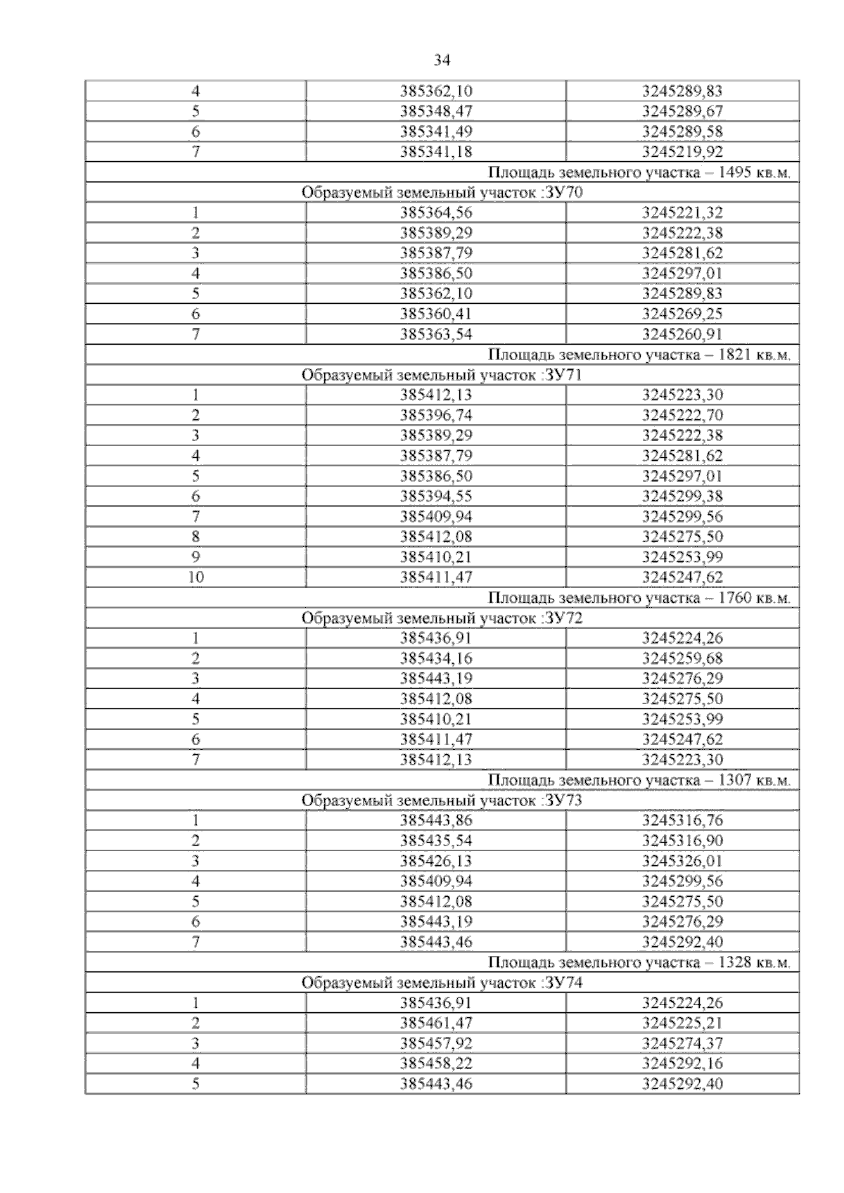
"Об утверждении проекта планировки территории и проекта межевания территории, ограниченной с севера существующей индивидуальной жилой застройкой по ул. Октябрьской, с востока – объездной автодорогой, с юга – существующей многоквартирной жилой застройкой по ул. Павлова и незастроенной территорией, с запада – существующей индивидуальной застройкой по ул. Новостроительной, и расположенной в г. Бокситогорске Бокситогорского муниципального района Ленинградской области"
(Зарегистрирован 20.08.2024 № 01-06-130/2024)
Номер опубликования: 4701202408220002
Дата опубликования: 22.08.2024
Страница №57 из 84:
Увеличить