Официальное опубликование правовых актов
ОФИЦИАЛЬНОЕ ОПУБЛИКОВАНИЕ
Приказ Комитета по сохранению культурного наследия Ленинградской области от 30.10.2024 № 01-03/24-124
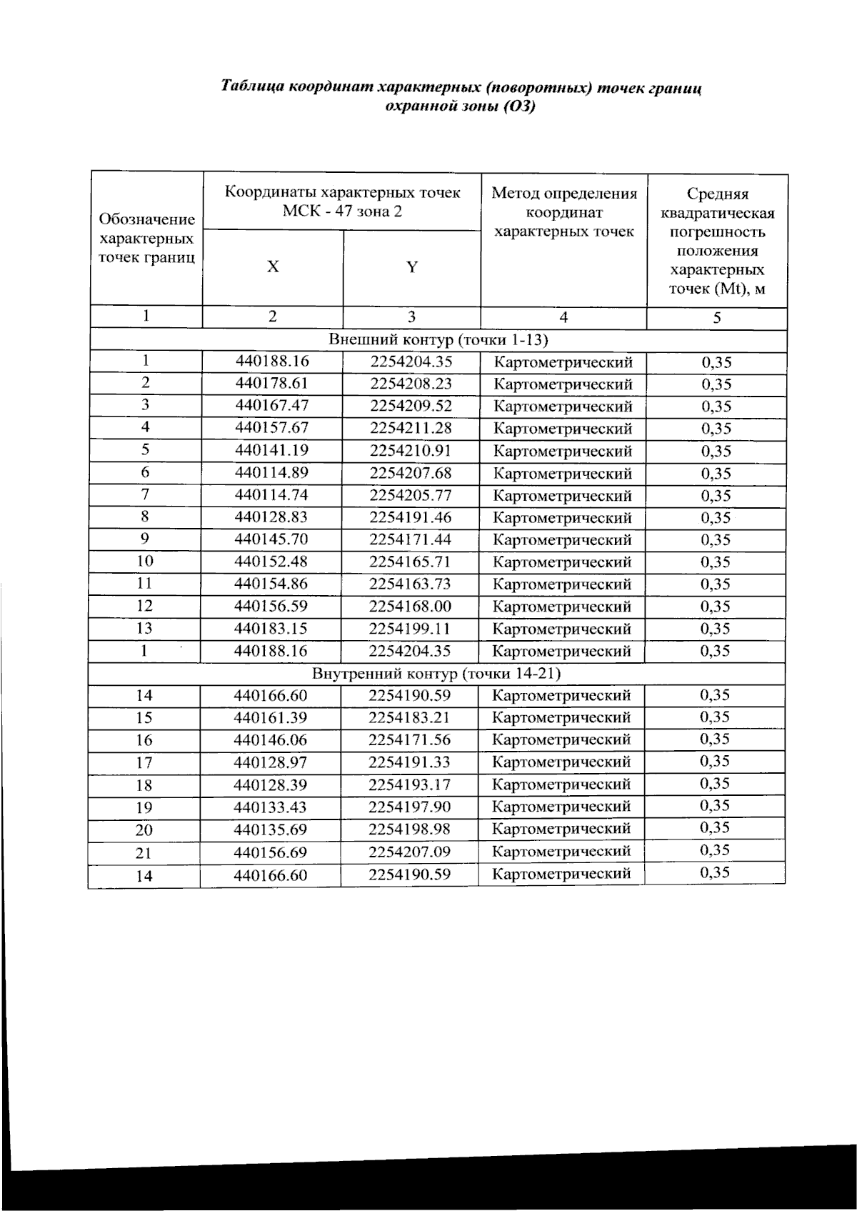
"Об утверждении границ зон охраны объекта культурного наследия регионального значения "Братская могила защитников Петрограда от Юденича, захоронены Кириллов, Жук, Смоляков", по адресу: Ленинградская область, Всеволожский район, Морозовское городское поселение, г.п. им. Морозова, ул. Скворцова, уч. 16М, режимов использования земель и требований к градостроительным регламентам в границах данных зон"
(Зарегистрирован 30.10.2024 № КСКН-2024/01-124)
Номер опубликования: 4701202411050006
Дата опубликования: 05.11.2024
Страница №6 из 12:
Увеличить