Официальное опубликование правовых актов
ОФИЦИАЛЬНОЕ ОПУБЛИКОВАНИЕ
Приказ Комитета по природным ресурсам Ленинградской области от 11.12.2025 № 38
"О внесении изменений в приказ комитета по природным ресурсам Ленинградской области от 26.11.2018 года № 35 "Об утверждении лесохозяйственного регламента Кингисеппского лесничества Ленинградской области"
(Зарегистрирован 11.12.2025 № 38)
Номер опубликования: 4701202512150043
Дата опубликования: 15.12.2025
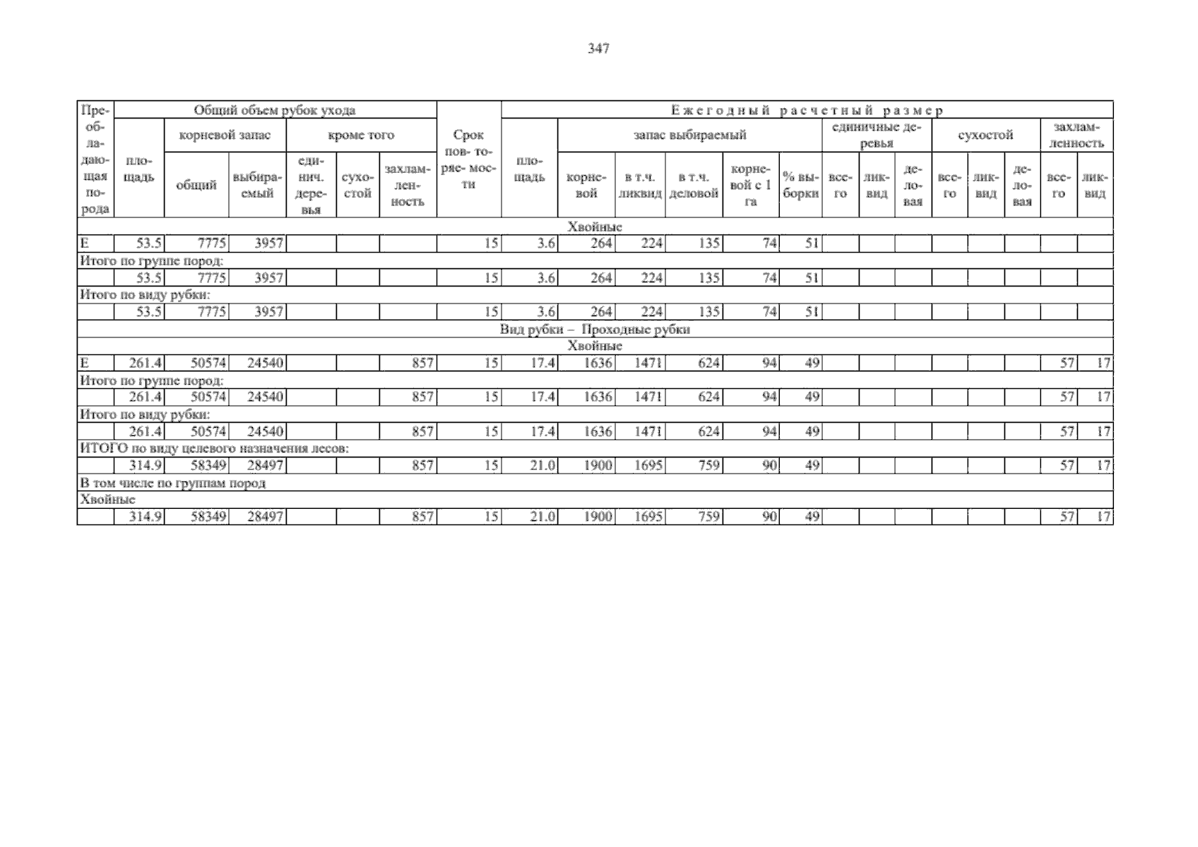
Страница №348 из 362:
Увеличить