Официальное опубликование правовых актов
ОФИЦИАЛЬНОЕ ОПУБЛИКОВАНИЕ
Приказ Комитета градостроительной политики Ленинградской области от 25.12.2025 № 156
"О внесении изменений в Правила землепользования и застройки на производственную часть территории муниципального образования "Новодевяткинское сельское поселение" Всеволожского муниципального района Ленинградской области"
(Зарегистрирован 25.12.2025 № 01-06-156/2025)
Номер опубликования: 4701202512290011
Дата опубликования: 29.12.2025
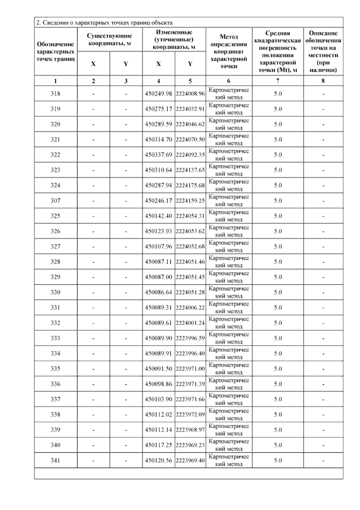
Страница №33 из 35:
Увеличить