Официальное опубликование правовых актов
ОФИЦИАЛЬНОЕ ОПУБЛИКОВАНИЕ
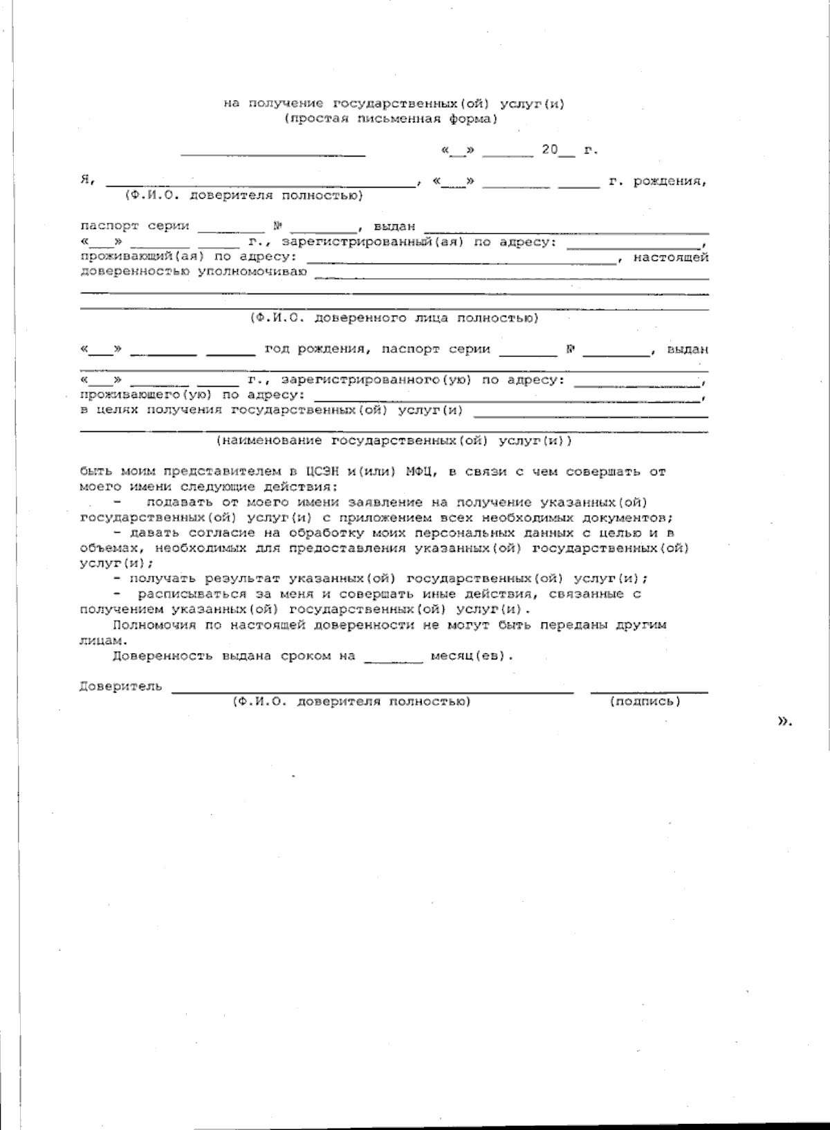
Приказ Комитета по социальной защите населения Ленинградской области от 25.12.2025 № 04-141
"О внесении изменения в приказ комитета по социальной защите населения Ленинградской области от 31 января 2020 года № 5 "Об утверждении административных регламентов предоставления на территории Ленинградской области государственных услуг в сфере социальной защиты населения"
(Зарегистрирован 25.12.2025 № 04-141)
Номер опубликования: 4701202512290022
Дата опубликования: 29.12.2025
Страница №38 из 38:
Увеличить