Официальное опубликование правовых актов
ОФИЦИАЛЬНОЕ ОПУБЛИКОВАНИЕ
Приказ Комитета градостроительной политики Ленинградской области от 10.04.2026 № 41
"О внесении изменений в Правила землепользования и застройки муниципального образования "Лесколовское сельское поселение" Всеволожского муниципального района Ленинградской области"
(Зарегистрирован 10.04.2026 № 01-06-41/2026)
Номер опубликования: 4701202604150001
Дата опубликования: 15.04.2026
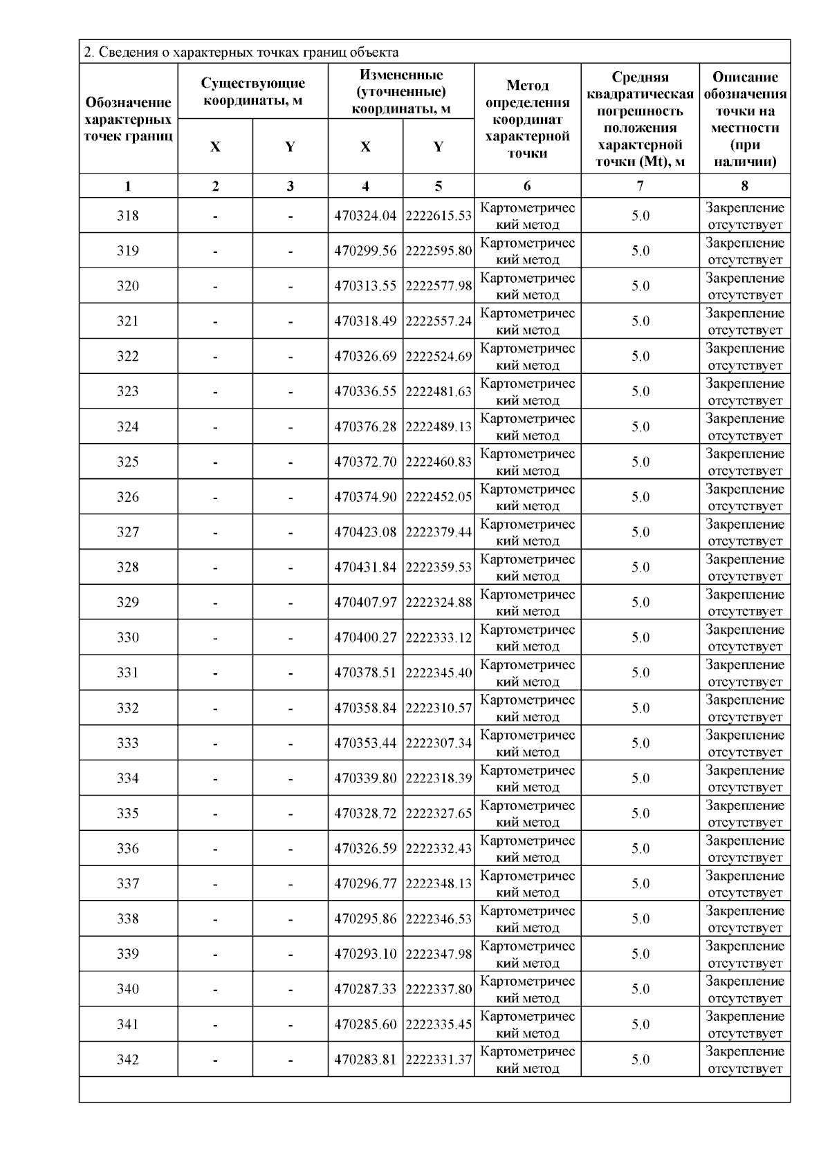
Страница №120 из 137:
Увеличить