Официальное опубликование правовых актов
ОФИЦИАЛЬНОЕ ОПУБЛИКОВАНИЕ
Приказ Комитета по сохранению культурного наследия Ленинградской области от 15.04.2026 № 01-03/26-55
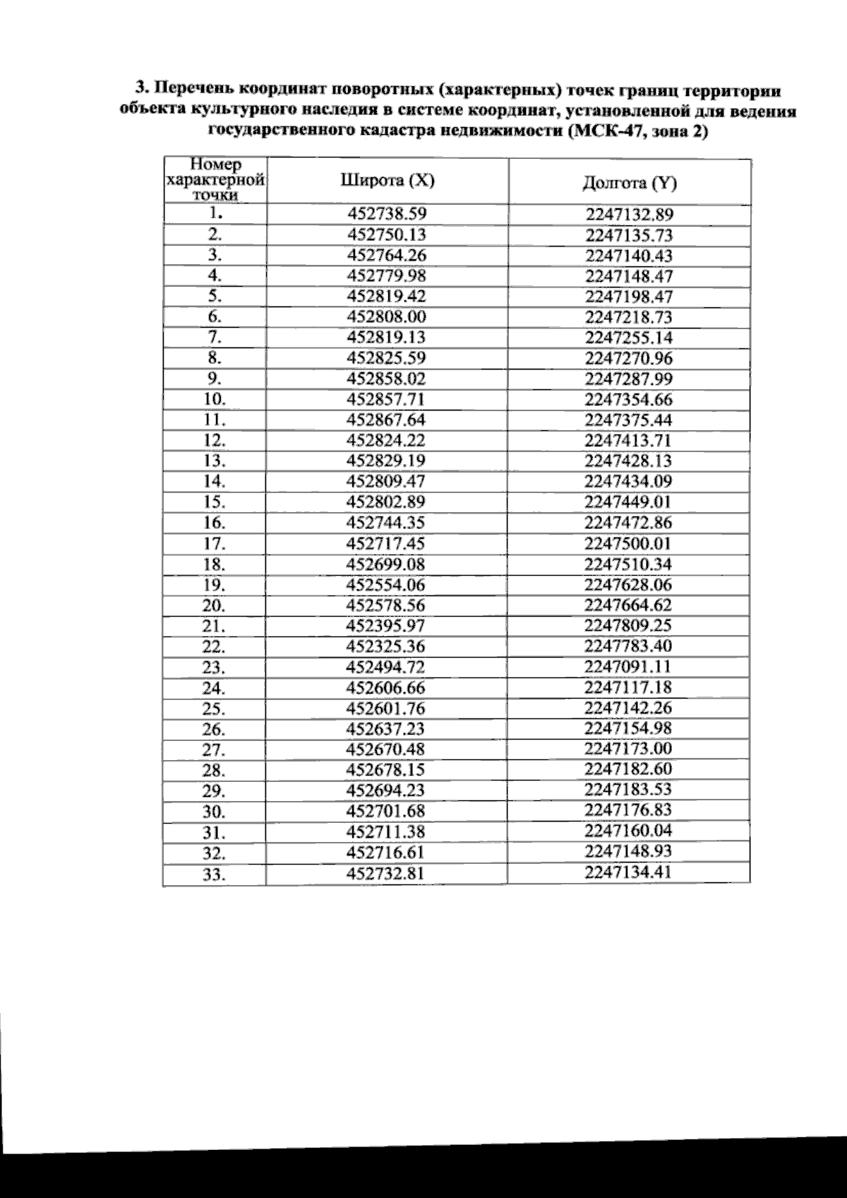
"О внесении изменений в приказ комитета по сохранению культурного наследия Ленинградской области от 02 апреля 2021 года № 01-03/21-48 "О включении объекта культурного наследия "Усадьба баронов Корфов "Ириновка", кон. XVIII в.-кон. XIX в., по адресу: Ленинградская область, Всеволожский муниципальный район, Рахьинское городское поселение, д. Ириновка, к востоку от ж/д станции "Ириновка", в единый государственный реестр объектов культурного наследия (памятников истории и культуры) народов Российской Федерации в качестве объекта культурного наследия регионального значения, утверждении границ его территории и предмета охраны"
(Зарегистрирован 15.04.2026 № КСКН-2026/01-55)
Номер опубликования: 4701202604170001
Дата опубликования: 17.04.2026
Страница №5 из 6:
Увеличить